Weisman, K., Legare, C.H., Smith, R.E. et al.

Similarities and differences in concepts of mental life among adults and children in five cultures

26 August 2021

      Abstract

      Results

      Discussion

      Methods

      Data availability

      Code availability

      References

      Acknowledgements

      Author contributions

      Competing interests

      Additional information

Kara Weisman[1],[2], Cristine H. Legare[3], Rachel E. Smith[4], Vivian A. Dzokoto[5], Felicity Aulino[6], Emily Ng[7], John C. Dulin[8], Nicole Ross-Zehnder[9], Joshua D. Brahinsky[10] and Tanya Marie Luhrmann[11]

Abstract

How do concepts of mental life vary across cultures? By asking simple questions about humans, animals and other entities – for example, ‘Do beetles get hungry? Remember things? Feel love?’ – we reconstructed concepts of mental life from the bottom up among adults (N = 711) and children (ages 6–12 years, N = 693) in the USA, Ghana, Thailand, China and Vanuatu. This revealed a cross-cultural and developmental continuity: in all sites, among both adults and children, cognitive abilities travelled separately from bodily sensations, suggesting that a mind–body distinction is common across diverse cultures and present by middle childhood. Yet there were substantial cultural and developmental differences in the status of social–emotional abilities – as part of the body, part of the mind or a third category unto themselves. Such differences may have far-reaching social consequences, whereas the similarities identify aspects of human understanding that may be universal.

How do concepts of mental life vary across cultures? By asking simple questions about humans, animals and other entities – for example, ‘Do beetles get hungry? Remember things? Feel love?’ – we reconstructed concepts of mental life from the bottom up among adults (N = 711) and children (ages 6–12 years, N = 693) in the USA, Ghana, Thailand, China and Vanuatu. This revealed a cross-cultural and developmental continuity: in all sites, among both adults and children, cognitive abilities travelled separately from bodily sensations, suggesting that a mind–body distinction is common across diverse cultures and present by middle childhood. Yet there were substantial cultural and developmental differences in the status of social–emotional abilities – as part of the body, part of the mind or a third category unto themselves. Such differences may have far-reaching social consequences, whereas the similarities identify aspects of human understanding that may be universal.


An understanding of mental life – the thoughts, feelings, intentions and other phenomenal states that we each experience and attribute to others – is fundamental to life in a human society. In everyday interactions, we use our understanding of emotions, desires, perceptions, memories, beliefs and intentions to explain and predict other people’s behaviour and to respond appropriately. In our more reflective moments, higher-level distinctions between different categories of mental life – thoughts versus feelings, sensations versus higher-order mental states – also help us understand our social and moral obligations, both to other humans and to non-human beings (for example, ‘Which animals are ok to eat? How can I build a relationship with God? Should we treat ‘smart’ technologies like people?’).

But do we all understand mental life in the same way? Anthropologists and cultural psychologists have repeatedly made the case that we do not, drawing on ethnographic work to argue that people in different cultural settings: pay more or less attention to bodily sensations, emotions and thoughts; sort different aspects of experience into categories with no obvious counterparts across contexts; have more or fewer words to refer to specific mental states in their language; and locate these various aspects of mental life in different places in the body14. Some scholars have even argued that the very idea of ‘mind’ is a construct specific to certain cultures with no clear analogue in others. For example, Lienhardt famously wrote that the Dinka of southern Sudan “have no conception which at all closely corresponds to our popular modern conception of the ‘mind’ as mediating and, as it were, storing up the experiences of the self”5, a claim that resonates with contemporary views on how radically different human thought and experience can be in different cultural contexts6 (but see ref. 7). At the same time, reasoning about thoughts, feelings and other mental states seems to be such a central part of most human lives that we might expect some core understanding of mental life to be universal, as many cognitive and developmental psychologists assert812. Here we present an empirical investigation of this deep, and deeply contentious, question: How do concepts of mental life compare across cultures?

A long tradition of work has opened a window into these concepts by examining how people reason about the ways in which a person’s mental life might be altered by birth13,14, death1520 or other significant life events2124. These studies have revealed intriguing commonalities across diverse cultural settings – in particular, a shared understanding that different aspects of mental life are more or less constrained by the biological life cycle of the human body (for example, that memories are more likely than sensations to continue after death; or that emotions and desires, but not perceptual abilities, might be present before birth). This approach is grounded in the assumption that ordinary people distinguish between, for example, ‘psychobiological’ versus ‘cognitive’ abilities15; ‘psychobiological’, ‘perceptual’, ‘emotional’, ‘desire’ and ‘epistemic’ states16; or ‘cognitive’, ‘non-cognitive’ and ‘biological’ traits21. However, in these studies, the distinctions tested have been rooted in the theoretical frameworks of these researchers, not in the lay ontologies held by ordinary people themselves (cf. ref. 22).

In recent years, large-scale data collection and advances in statistical computing have opened the door to a new, data-driven approach to discovering lay ontologies. Cognitive scientists have begun to infer conceptual structure ‘from the bottom up’, allowing data to give rise to ontological structures, rather than working ‘from the top down’ by using a theory to guide hypothesis-driven data collection. Building on pioneering work on the ‘dimensions of mind perception’25, we and several other research teams have explored lay ontologies of mental life among adults in North America by tracking covariance patterns in attributions of mental capacities to humans, animals, supernatural beings, technologies and other entities2628. There have been a few forays into other cultural contexts2831, but major differences in methods and analysis approaches have hindered direct cross-cultural comparisons, and very little is known about how cultural differences might emerge over development. Yet this bottom-up approach is particularly well-suited to cultural and developmental comparisons, because it allows similarities and differences between groups of people to emerge organically rather than in relation to a priori hypotheses – which, by nature, are constrained by the imagination and cultural perspective of the investigator.

In the current studies, we leveraged this bottom-up approach to identify and compare representations of mental life among adults and children (aged 6–12 years) living in five diverse cultural settings: the San Francisco Bay Area, USA (n = 127 adults, n = 117 children); Cape Coast, Ghana (n = 150 adults, n = 150 children); Chiang Mai, Thailand (n = 150 adults, n = 152 children); Shanghai, China (n = 136 adults, n = 131 children); and Port Vila and Malekula, Vanuatu (n = 148 adults, n = 143 children). Adults were recruited primarily in public places (for example, a bus station), and children were recruited primarily in elementary schools. This study was part of the Mind and Spirit Project, a long-term collaboration grounded in cultural anthropology and experimental psychology, which focused on how understandings of the mind may be related to experiences of spiritual and supernatural events32,33. Our five field sites were chosen to capture a variety of cultural models of the mind3439 as well as a range of religious traditions (for example, Christianity, Buddhism, atheism).

To facilitate direct comparison, we developed a single study paradigm for use with adults and children in all sites. Each participant answered 23 questions about the mental capacities of some target entity – for example, ‘Do beetles feel love? Get hungry? Smell things? Feel guilty? Remember things?’. The goal of these studies was to assess concepts of ‘mental life’ broadly construed, including not only human mental lives, but also the perceived mental lives of other animals and living things, technologies and supernatural beings2527,31. To this end, different participants assessed different entities, chosen to capture variability in the kinds of mental lives that might be attributed to humans (children), other mammals (dogs, mice), non-mammalian animals (chickens, beetles), plants (flowers), natural objects (rocks), technologies (mobile phones) and supernatural beings (ghosts, God). We modelled this paradigm on our previous work with US adults and children26,40,41, drawing on the cultural and linguistic expertise of the ethnographers among us to create a version of this task that was developmentally appropriate for children as young as 6 years old and culturally appropriate in all five sites, featuring mental capacity items that were as semantically similar as possible across all five languages (Supplementary Information).

The focus of this paper is the covariance structure of people’s responses to these questions: which capacities travelled together? For example, when someone indicated that a beetle, a ghost or any other entity was capable of love, did they also tend to say it was capable of hunger, smell, guilt or memory? We take these patterns of covariance within each sample to reveal conceptual structure among participants in that sample26, and we consider similarities and differences in covariance patterns across samples to point to ways in which concepts of mental life might vary across culture contexts and across development within a given context.

Results

For each sample of adults and each sample of children in each of our five field sites, our goal was to derive a set of latent constructs – core components of a concept of mental life – that together give rise to people’s intuitions about the mental capacities that these target entities might or might not possess. For each sample, we identified a set of factors capable of generating the observed covariances via exploratory factor analysis (EFA), using parallel analysis to determine how many factors to retain. Factor loadings, after oblique transformation, for all samples are given in Fig. 1. We compared EFA solutions across sites and age groups by calculating a vector cosine (rc) for each pair of factors42, which we present here as an objective, formal method of gauging similarity across cultures and age groups (Figs. 2 and 3). More information on these EFA solutions is given in Supplementary Information, including the percent of variance accounted for by each factor, additional analyses of factor similarity, varimax-rotated solutions and dimensionality reduction analyses using principal components analysis instead of EFA.


Replication of previous work among US adults. Among US adults, EFA yielded three factors that strongly resemble the three factors identified in our previous work with US adults:26,40,41 (1) bodily sensations related to biological needs (for example, ‘get hungry’, ‘feel pain’); (2) basic emotions and social abilities (for example, ‘feel sad’, ‘feel proud’); and (3) perceptual–cognitive abilities (for example, ‘remember things’, ‘sense when things are far away’) (Fig. 1a (left)). We call these factors ‘body’, ‘heart’ and ‘mind’.26 This clear conceptual replication speaks to the robustness of this conceptual structure among US adults, and validates the version of this task employed in the current studies.


Cultural comparisons among adults. Given our own cultural expertise, and the fact that the US ‘body’, ‘heart’ and ‘mind’ factors are so robust, we use formal comparisons with adults in the USA as a launching point for our cultural comparisons of adults in our five field sites (Fig. 4). We emphasize, however, that comparisons with US adults are a tool for interpretation, not an assumption of our analyses; parallel analysis and EFAs were conducted independently for each sample, and the similarities presented in Figs. 1 and 2 do not privilege any particular sample as the base for comparison. (See also Supplementary Figs. 2–5 for figures analogous to Fig. 4, using the adult samples from Ghana, Thailand, China and Vanuatu, rather than the USA, as the base comparison group.)

This approach revealed one striking cross-cultural continuity: a distinction between physiological sensations and cognitive abilities was clearly present among adults in every site. In each sample, attributions of physiological sensations (for example, ‘get hungry’, ‘feel pain’) were strongly intercorrelated, yielding factors that were similar to the US ‘body’ (rc > 0.86) and not similar to the US ‘mind’ (rc < 0.33; Fig. 1a, Fig. 2, upper left and Fig. 4, upper row); these ‘body-like’ factors were particularly similar across samples. Meanwhile, attributions of cognitive abilities (for example, ‘figure out how to do things’, ‘remember things’) were intercorrelated in each sample, yielding factors that much more similar to the US ‘mind’ (rc > 0.74) than to the US ‘body’ (rc < 0.34; Fig. 1c, Fig. 2, middle and Fig. 4, lower row). This is not to say that these ‘body-like’ and ‘mind-like’ factors were identical in all sites: for example, samples varied substantially in which of the sensory-perceptual abilities, if any, were associated strongly and exclusively with the ‘mind-like’ factor (Fig. 1c). Nonetheless, in all five sites, adults clearly distinguished what would call ‘mind’ – a suite of abilities to detect, use and store information about the environment – from the more ‘bodily’ aspects of experience. In our view, this is a high degree of similarity to have observed across such diverse cultural settings using a bottom-up approach, which was not designed to test whether this particular aspect of conceptual representations was held in common – and which indeed could have highlighted any number of alternative categorization schemes (for example, pleasant versus unpleasant experiences, items that did or did not include the word ‘feel’).

By contrast, we observed substantial differences across sites in another important aspect of adults’ representations of mental life: the way social–emotional abilities fit into this fundamental distinction between body and mind (Fig. 1b, Fig. 2, lower right and Fig. 4, middle row).

w-k-weisman-k-legare-c-h-smith-r-e-et-al-similarit-1.jpg
Fig. 1 | Factor loadings from EFAs among adults and children in five field sites, organized by similarity to the ‘body’, ‘heart’ and ‘mind’ factors among uS adults. ad, Body-like factors are presented in a, heart-like factors in b, mind-like factors in c, and other factors in d. Strong positive factor loadings (red) identify emblematic capacities for each factor; capacities that loaded ≥0.50 on only one factor in a given sample are highlighted in bold. See Supplementary Figs. 5–10 for a focus on each site on its own terms, including side-by-side comparisons of adults and children. Chi, China; F, factor; Gh, Ghana; Th, Thailand; Va, Vanuatu.

In the samples from Chiang Mai, Thailand and Shanghai, China, as in the US sample, adult participants appeared to consider social– emotional abilities to be a third category, distinct from both body and mind. In both samples, EFA yielded a single factor that was highly similar to the US ‘heart’ (rc > 0.96) and not similar to the US ‘body’ or ‘mind’ (rc < 0.35). There were differences in which capacities were most strongly related to these ‘heart-like’ factors (Fig. 1a), but adults from these three samples seemed to share the intuition that these abilities travel together: if a being is capable of having its feelings hurt, it is probably capable of guilt, sadness, shyness, pride and the like. These similarities might reflect relatively recent access to a secular, scientific, Western-style model of the mind35,38,43, particularly in the urban centres where these data were collected; they might also reflect separate intellectual traditions categorizing mental life that have converged on similar distinctions34,44,45. Other work has made it clear that people in the USA, Thailand and China experience, express, act on and value emotions in different ways46,47 but our results suggest that, at least in the twenty-first century, the conceptual structures underlying these cultural differences have something in common.

By contrast, adult participants in the samples from Ghana and Vanuatu appeared not to share the intuition that all of these ‘social– emotional’ abilities are of a kind; there was no clear analogue to the US, Thai and Chinese ‘heart’ factors in either site.

Instead, among adults in Cape Coast, Ghana, most of the social– emotional items that defined the US ‘heart’ – ‘feel proud’, ‘get angry’, ‘feel happy’, ‘feel love’, ‘feel sad’ – loaded most strongly on the factor we identified above as ‘mind-like’, which we could redescribe as a more integrated representation of inner life that encompasses both cognition and emotion (similarity to US ‘mind’: rc = 0.78; similarity to US ‘heart’: rc = 0.69). Another factor picked out three other social–emotional items – ‘feel shy’, ‘feel guilty’ and ‘pray’ – that are fundamentally interpersonal phenomena involving other humans or, in the case of prayer, God; this factor was most similar to the US ‘heart’ factor (rc = 0.68). This distinction between personal inner life and interpersonal relationships emerged from our bottom-up analysis, not from top-down hypothesis testing, and yet it resonates quite well with ethnographic descriptions of life in Ghana. In this setting, people frequently report being cautious about exposing their thoughts, feelings, desires and intentions – that is, the mental states that constituted the ‘inner life’ factor – to public view because of perceived threats from personal enemies and supernatural beings (for example, witches, demons) who might become envious, attempt to foil plans or hijack negative feelings or intentions to fuel their own malevolent ambitions37,48. Anthropologists have argued that many people in Ghana have embraced Christianity as a way to protect this private inner sphere from such forces;36,49 we view the capacities picked out by the third factor – guilt, prayer, shyness – as resonant with the values and practices emphasized by contemporary Ghanaian Christian churches50.

Meanwhile, among adults in Port Vila and Malekula, Vanuatu, social–emotional items were distributed evenly across the two factors identified by EFA. The items ‘get angry’, ‘feel guilty’, ‘feel shy’ and ‘feel proud’ travelled together with physiological sensations (for example, hunger, fatigue), loading most strongly on the factor we identified above as ‘body-like’ (similarity to US ‘body’: rc = 0.87). In this cultural setting, such emotions were probably viewed as base, sordid and strongly related to violations of social relationships; indeed, many of these items correspond to cardinal sins (pride, greed, lust, envy, gluttony, wrath, sloth), befitting this devoutly Christian context51. (Note that in Vanuatu, as well as in Ghana, ‘feel proud’ was probably interpreted as a negative state – for example, ‘He is a prideful person’ – rather than as a positive reflection on a relationship or personal achievement – for example, ‘She is proud of her daughter’, ‘He is proud of his good work’.) By contrast, a suite of more prosocial abilities – ‘feel happy’, ‘get hurt feelings’, ‘feel love’, ‘pray’ and ‘feel sad’ – travelled together with cognitive abilities, loading most strongly on the factor we identified above as ‘mind-like’ (a factor which was, in fact, equally similar to the US ‘mind’ factor, rc = 0.75, and the ‘heart’ factor, rc = 0.73; Fig. 4). What might unite prosocial emotions and cognitive abilities in this environment is that they are desirable mental capacities that allow a person to function in society; this resonates with ethnographic and experimental work in Vanuatu highlighting the high value placed on actively maintaining social harmony39,52,53.

w-k-weisman-k-legare-c-h-smith-r-e-et-al-similarit-2.jpg
Fig. 2 | Vector cosines (rc) between all pairs of factors in the EFA solutions presented in Fig. 1, indicating how similar each factor is to every other factor. Higher rc indicates greater interfactor similarity. Along the axes, the three US adult factors, ‘body’, ‘heart’ and ‘mind’, are highlighted in blue text. Factors are ordered via hierarchical clustering, without privileging any sample as the base for comparison. This provides a quantitative demonstration that there were ‘body-like’ and ‘mind-like’ factors in all ten samples, and ‘heart-like’ factors in some, but not all, samples. F1– 4, factor 1– 4.

In introducing this work, we emphasized that our bottom-up approach is well-suited to make cultural comparisons, because it allows these similarities and differences to arise from the data rather than from top-down hypotheses about the number or nature of ‘factors’ in any of these samples. But a full account of how people come to understand mental life in any given cultural setting requires much more than a single study can provide, and our interpretation of our results was of course limited by our selection of mental capacities and target entities and by our understanding of our previous work in the USA. Extending the mental capacities and target entities included in these studies – for example, by including mental capacities that are frequent in everyday speech, entities that are commonly encountered in everyday life, or capacities and entities that are considered especially meaningful and important in the broader cultural discourse – could shed more light on conceptual representations in a given cultural setting, as could engaging participants themselves in the interpretation of our findings. In addition, including more capacities related to agency and morality could be particularly interesting ways to connect to other literature on mind perception (Supplementary Information)27,30,31 and cultural evolution54,55. Finally, exploring diversity within a cultural setting – for example, across racial, ethnic or religious groups; across different levels of formal education; and across generations – will be an important goal for future research. (See Supplementary Information for one exploratory analysis of demographic differences.) Based on the current results, we would prioritize the social–emotional domain as a particularly important area for such extensions of this work.

w-k-weisman-k-legare-c-h-smith-r-e-et-al-similarit-3.jpg
Fig. 3 | Cultural comparisons of adults across sites. The figure presents vector cosines (rc) between the factors (F) from eFAs for adults in each of our five field sites and the three factors from our sample of adults from the San Francisco (SF) Bay Area, USA: ‘body’ (upper row), ‘heart’ (middle row) and ‘mind’ (lower row). error bars are 95% bootstrapped confidence intervals. Dotted lines demarcate principled cut-offs for high similarity (rc ≥ 0.95, red zone) and moderate similarity (rc ≥ 0.85, yellow zone42). In all adult samples there was a clear analogue to the US adult ‘body’ factor, a reasonable analogue to the US adult ‘mind’ factors, but more variation in how factors compared with ‘heart.’ See Supplementary Figs. 2–5 for analogous figures using adult samples from Cape Coast, Ghana; Chiang Mai, Thailand; Shanghai, China; and Port Vila (PV) and Malekula, Vanuatu as the base for such comparisons.


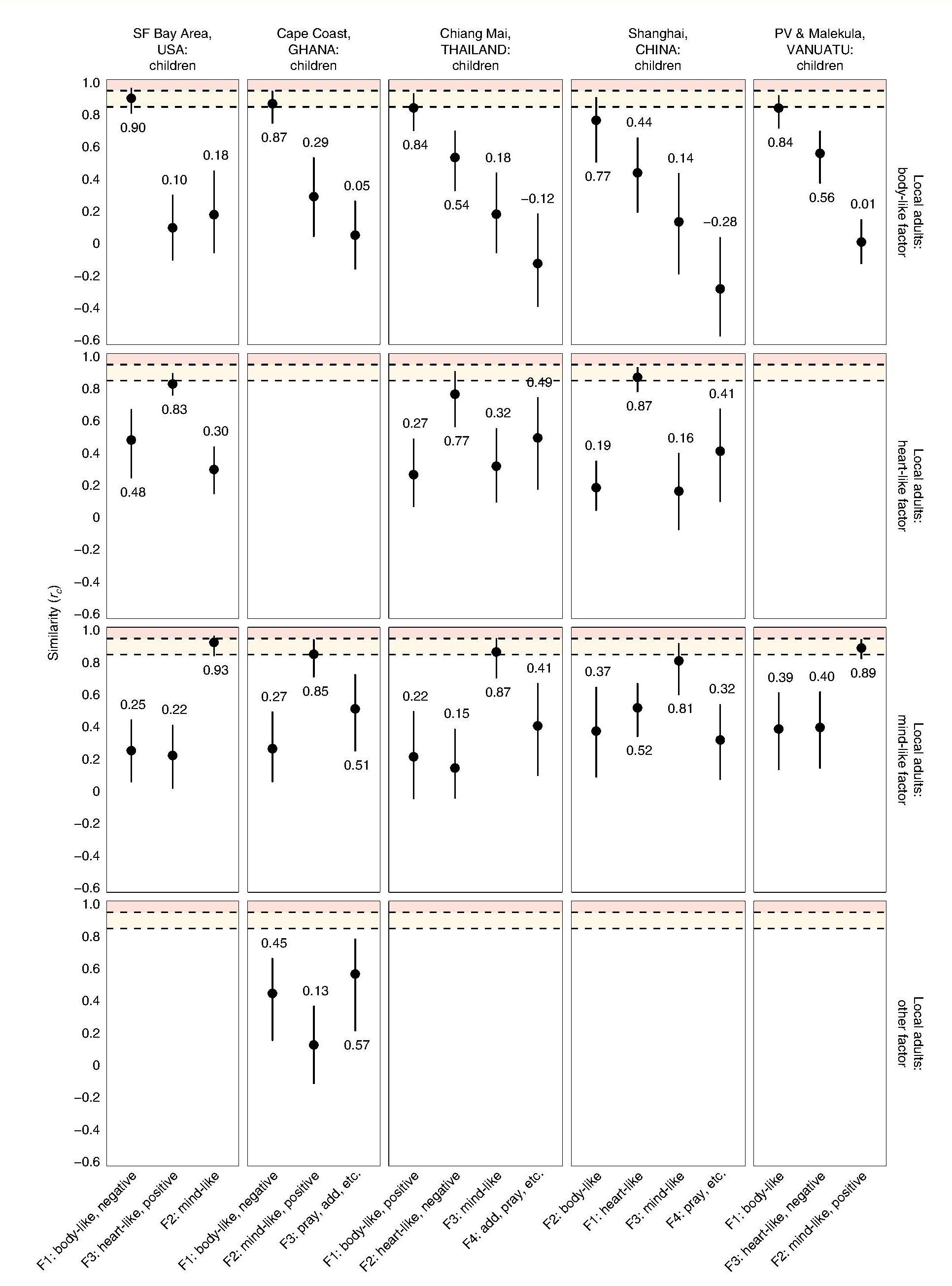
Developmental comparisons. If we take cultural differences to be the result of divergent learning histories56, the degree of difference across cultural groups might be a reasonable proxy for the amount of learning required of an individual child. Indeed, the same pattern that characterized our cross-cultural results – differences in representations of social–emotional abilities, in the context of a shared distinction between ‘body’ and ‘mind’ – also captures the salient differences between adults and children in each site. See Fig. 1b for factor loadings from EFAs of child samples, Fig. 3 for cosine similarities between child and adult factors in each site and the Supplementary Information for extended discussions and visualizations of age-related differences in each site (Supplementary Figs. 5–10).

What stands out from these comparisons is that, in all five sites, children drew a distinction between bodily sensations and cognitive abilities that was quite similar to that of adults in their cultural context – that is, there was a factor much more similar to local adults’ ‘body-like’ factor (all rc > 0.76) than their ‘mind-like’ factor (all rc < 0.40), and another factor much more similar to local adults’ ‘mind-like’ factor (all rc > 0.81) than their ‘body-like’ factor (all rc < 0.30) – but in no site had children fully mastered the understanding of social–emotional abilities prevalent among adults in their community.

In fact, in four of our five sites, qualitative analyses of factor loadings highlighted that children differed from adults in one particular aspect of understanding (what we would call) the social–emotional domain: their attention to positive versus negative valence. In the USA, Ghana and Thailand, children’s responses highlighted a distinction between pleasant and unpleasant emotions that was not salient among adults; this is in line with our previous work with US children (4–9 years old), which has demonstrated that the distinction between bodily sensations and cognitive abilities is quite stable across this age range, but that representations of valence dominate children’s representations of emotions early in childhood, with other aspects of emotion concepts continuing to develop through middle childhood40,41 (see also refs. 57,58). In Vanuatu, the reverse was true: valence was less pronounced among children’s factor loadings than among adults’ factor loadings. China was the only country in which differences between adult and child factor solutions were not clearly related to valence, but rather to other aspects of representing emotions (for example, whether anger is more closely associated with sadness and love or with hunger and smell). At a higher level, in all five sites, the differences between children and adults in their understandings of social–emotional abilities were much more salient than any differences relating to the distinction between cognition and bodily sensations.

w-k-weisman-k-legare-c-h-smith-r-e-et-al-similarit-4.jpg
Fig. 4 | Developmental comparisons within each site. The figure presents vector cosines (rc) between the factors from eFAs for children in each field site and factors from the corresponding adult sample (‘local adults’). error bars are 95% bootstrapped confidence intervals. Dotted lines demarcate principled cut-offs for high similarity (rc ≥ 0.95, red zone) and moderate similarity (rc ≥ 0.85, yellow zone42). In all child samples there were analogues to local adults’ ‘body-like’ and ‘mind-like’ factors, but more variation in how children’s factors compared with ‘heart-like’ and other factors.

This degree of cross-cultural convergence in developmental trajectories – even as children acquire culturally specific representations of mental life that differ in important respects – is all the more compelling because it emerged from bottom-up analyses that could have surfaced any number of alternative or additional age-related differences. One particularly important goal for future research will be to chart these developmental trajectories continuously over age – something that current factor analytic approaches are not equipped to do, but which is an area of active research59,60. Studies that include a wider variety of pleasant, unpleasant, prosocial and antisocial capacities – in both the social–emotional domain and the bodily domain – could be particularly useful in teasing out the role of valence in children’s developing understanding of how social–emotional abilities are understood to fit into the ‘mind’–‘body’ distinction in their cultural context.

Discussion

By asking adults and children simple questions about humans, animals and other entities – for example, ‘Do beetles get hungry? Remember things? Feel love?’ – we reconstructed and directly compared concepts of mental life among adults and 6–12-year-old children in five diverse cultural settings: the San Francisco Bay Area, USA; Cape Coast, Ghana; Chiang Mai, Thailand; Shanghai, China; and Port Vila and Malekula, Vanuatu. These studies yielded a clear pattern: a ‘mind’–‘body’ distinction was held in common by adults and children everywhere, but representations of emotions varied across field sites and across development within each site.

Some form of mind–body dualism – at a minimum, the general idea that there is something like what many Westerners would call a ‘mind’, which is somehow different from the ‘body’ – may indeed be part of a core conceptual architecture shared by humans812, which different groups of people explain, elaborate on, revise, use and value in different ways. Some scholars have argued that mind–body dualism is the result of distinct neurocognitive systems that have evolved to track and reason about people versus the physical world9,10,12, cf. ref. 61. Such a mind–body distinction could also be supported by biological needs (for example, the need to attend to bodily states to maintain homeostasis), social conditions (for example, the importance of hygiene) and phenomenal experiences (for example, the degree to which different aspects of mental life involve perceptible changes to blood pressure, heart rate, respiration or gastrointestinal processes) that are highly similar across human groups. In any case, the current studies add to a growing body of evidence, employing a variety of empirical methods, that a distinction between mind and body is common across diverse cultural settings and understood early in life1223,6268.

Against the backdrop of this shared mind–body distinction, there were clear differences across field sites in representations of the more social–emotional aspects of mental life. Sadness, happiness, guilt, love and the like occupied very different places relative to the mind–body distinction across sites. In adult samples from the USA, Thailand and China, these abilities constituted a third component of mental life (‘heart’); among Ghanaian adults, they mostly patterned together with cognitive abilities to form an integrated representation of inner life; and among Ni-Vanuatu adults they were distributed across the ‘body-like’ and ‘mind-like’ factors according to their social–moral value. Moreover, within each site, representations of these social–emotional abilities were what varied most between 6–12-year-old children and adults, particularly when it comes to the ways in which these cultural models did or did not incorporate representations of positive versus negative valence57,58. These findings demonstrate yet another way in which the experience, understanding, display, moral value and use of emotions varies across cultural settings.46,47,54,55,69 Different groups of people have come to very different conclusions about how emotions relate to bodily sensations and cognition, and it takes children many years to become culturally competent in this domain (that is, to understand the social–emotional aspects of mental life in the way the adults around them do).

We speculate that a central aspect of this enculturation process is learning the social and moral value of different aspects of mental life. Ethnographic and ethnolinguistic work has found that, across history and geography, most people have viewed mental life through the lens of good and bad rather than through neutral categories like ‘cognition’ and ‘emotion.’70,71 The current studies yielded two examples of adult representations of mental life that, in our view, are clearly informed by such social–moral considerations: the need to protect the private inner sphere from malevolent others, in Ghana, and the need to promote social harmony, in Vanuatu. The ‘body’, ‘heart’ and ‘mind’ factors found among adults in the USA, Thailand and China could be an example of a more neutral categorization system, informed by secularism and Western science – but it, too, may be informed by social–moral considerations, some more salient in certain contexts than in others. For example, the emergence of ‘heart’ as a distinct category of mental life could be rooted in the need to express one’s emotions to be one’s true self (especially salient in the USA72); the need to track others’ emotions to fit into a more interdependent society (especially salient in China72, and perhaps Thailand); or the need to monitor one’s motives and expressions to lessen the karmic consequences of one’s actions (especially salient in Thailand73). This places the current findings in the context of a broader discourse about the co-evolution of social systems, moral values and emotions across cultural settings54,55.

Such explanations are neither exhaustive nor mutually exclusive; moreover, individuals in all cultures probably have access to multiple ways of reasoning depending on the context and the task at hand. Our broader point is that – as in many other cases of cultural difference74 – cultural variability in conceptual representations of mental life might be traced back to the different emphases placed on particular norms and moral values across settings, which take children many years to fully understand and internalize.

Cultural and developmental differences in understandings of happiness, sadness, guilt, love and the like are a testament to the many ways that humans can learn to think about ourselves and the world. The differences that emerged in these studies might lead different groups of people to different conclusions about human nature,14,31 about why humans do bad things and how society should react,69 about how to treat the rest of the natural world (Are plants agents?30), whether to fear or embrace artificial intelligence (Are robots deserving of moral treatment?2527,75) and how to interact with any supernatural beings we believe to exist (Do ghosts get hungry? How good is God’s memory?31,76,77). At the same time, the continuities we observed speak to aspects of human thought that may be universal – parts of our experience that unite us.

Methods

This work was approved by the Institutional Review Board at Stanford University under Protocol # IRB-36980; consent was obtained from adult participants and from children’s guardians or school administrations as approved by the Panel on Non-Medical Human Subjects. Participants were given a small thank-you gift for their time (for example, a $5 gift card for US adults, or a colourful pencil for US children; thank-you gifts varied across sites to be roughly equally matched in value).

See the Supplementary Information for extended descriptions of all methods and materials, including visual stimuli and translations of all verbal stimuli in five languages, descriptions of each field site, extended EFA results for each sample, side-by-side comparisons of adults and children in each field site and extended acknowledgements.


General protocol. This study was designed in an extended, iterative, collaborative process involving anthropologists and local cultural experts from each of our five field sites, with the goal of created a standard protocol that would be equally familiar, natural and culturally appropriate in all sites. The study was administered by local researchers in a common local language: English in the USA, Fante (an Akan dialect) in Ghana, Thai in Thailand, Mandarin Chinese in China and Bislama (an English-based creole language) in Vanuatu.


Target entities. Each participant was pseudo-randomly assigned to answer questions about one of the following target entities: children, dogs, mice, chickens, beetles (or, in China and in a few cases in Vanuatu, crickets), flowers, rocks, mobile phones, ghosts or God. In some sites, additional participants were recruited to answer questions about other target entities, but these data were not included in any of the current analyses. With the exception of God, all target entities were referred to in the plural (when the language marked a difference between singular and plural) to evoke the generic category rather than a specific individual.

Each target entity was illustrated with a high-resolution photograph printed in colour and measuring approximately 5 inches by 8 inches. These photographs were chosen in close consultation with anthropologists working in the field, with the goal of presenting examples that were equally familiar or ‘typical’ of that category of entity across our five field sites. In most cases, this resulted in a photograph that each field worker thought would be moderately familiar to participants in their field site (for example, a child whose race/ethnicity did not match the most numerous racial/ethnic group in any of these settings; wisps of white mist in a vaguely humanoid shape, rather than a more stereotypical depiction of a ‘ghost’ in any given setting). See Supplementary Table 1 for image sources and translations. Data collection was not performed blind to the conditions of the experiments; the researcher knew which target entity a child was assessing. (The data analyses reported here did not take target entity into account.)


Capacities. Each participant assessed 23 capacities for whatever entity they were assigned to assess. These questions all followed a standard format: ‘Do [entities] [do X]’ (for example, ‘Do beetles feel love?’). The capacities were chosen to include physiological sensations (‘get hungry’ ‘feel pain’, ‘feel tired’, ‘feel sick, like when you feel like you might vomit’), perceptual abilities (‘hear things’, ‘smell things’, ‘sense temperatures’, ‘sense when things are far away’), cognitive capacities (‘think about things’, ‘remember things’, ‘figure out how to do things’, ‘add and subtract numbers’), agency (‘choose what to do’), basic emotions (‘feel happy’, ‘feel sad’, ‘feel scared’, ‘get angry’), more complex or social emotions and abilities (‘get hurt feelings’, ‘feel guilty’, ‘feel shy’, ‘feel proud’, ‘feel love’) and spiritual abilities (‘pray’). Most items were based on our previous work26,40,41, but some were new additions chosen to reflect our interest in including items relevant to spirituality and religious cognition, or chosen because items used in previous work were difficult to translate into the languages used in our particular field sites. The final list of capacities reflects an extensive process of comparison and discussion among the field workers and other cultural experts in each field site to ensure that items were closely comparable across languages and cultural contexts; items were then subjected to an iterative process of translation, back-translation and revision. See Supplementary Table 2 for the final set of items in all five languages.

One preset order of target entities (between-subjects) and six pseudo-random orders of capacities (within-subjects) were generated before data collection and fully counterbalanced within each sample; see the Supplementary Information for details.


Response options. Participants were instructed to respond orally to our questions using one of three response options: in English, ‘no’, ‘kind of’ or ‘yes’; see the Supplementary Information for translations in all five languages, details about how these response options were introduced to participants and descriptive statistics of scale use in each sample.


Procedure. A researcher fluent in the language of administration recruited participants and administered the study. After making small talk and introducing the task (see Supplementary Information for script), the researcher proceeded through 23 questions of the form ‘Do [entities] [do X]’ (for example, ‘Do beetles feel love?’) in a preset order (‘Capacities’, above). This task generally took less than 5 minutes to complete. In some cases, this was one of two tasks a participant completed; the other task asked participants to reason about and explain social interactions between humans. According to the researchers in each site, the current study was the first task administered in the vast majority of these cases.


Planned samples. We planned to recruit between 130 and 150 adults from the general population and 130–150 children aged 7–12 years in each site. We set the minimum number of participants using a common general rule that the participants-to-items ratio for EFA should be at least 5:1; the full testing protocol included 26 items (the 23 mental capacities analysed here, and the additional 3 questions asked at the end of the task that were not analysed here), yielding a minimum sample size of 130 per sample. We set the maximum number of participants based on the idea that we wanted each of the target entities included in the study design to be assessed by 15 participants in each sample, which we thought would yield reasonably precise estimates of which capacities people tended to attribute to which entities in each site and the relative variability across individuals in these attributions.


Analysis plan. Here we describe the analyses reported in the main text. In Supplementary Information, we present several secondary analyses, including: (1) examining orthogonal rotations rather than oblique transformations of factor solutions; (2) considering responses of ‘kind of’ as equivalent to ‘yes’ and conducting EFAs using tetrachoric rather than Pearson correlations; (3) dropping participants who gave the same answer on every trial; (4) conducting principal components analyses (PCA) rather than EFA; (5) comparing factors via Jaccard similarity rather than cosine similarity. By and large these approaches yield very similar results to the approach reported in the main text of the paper, which we consider to be some indication of the robustness of these results to different analysis choices. All analyses were conducted in R78.


Data preparation and choice of correlations. We report results from analyses in which responses of ‘no’ were coded as 0, ‘kind of’ as 0.5 and ‘yes’ as 1, and EFAs were conducted using Pearson correlations. We favour this approach because it allowed us to use our raw data without preprocessing, and yielded interpretable factor solutions that successfully reduced the dimensionality of the data set.


Factor retention protocols. We used parallel analysis to determine how many factors to retain, as implemented in the ‘fa.parallel()’ function in the ‘psych’ package79. Parallel analysis is a simulation-based approach to factor retention, which compares observed eigenvalues with the eigenvalues that emerge from resampled and randomly generated data sets of the same size as the empirical data.


Exploratory factor analysis. For each sample, after determining how many factors to retain we conducted an EFA using ordinary least squares to find the minimum residual solution, as implemented in the ‘fa()’ function in the ‘psych’ package79. Here we report results from solutions after oblique (‘oblimin’) transformation.


Factor comparison via cosine similarity (rc). To assess the similarity between pairs of factors – within a single solution, across adult solutions from different field sites, or across solutions from children versus adults within a single field site – we calculated cosine similarity (also known as the Tucker index of factor congruence), as implemented in the ‘cosine()’ function in the ‘lsa’ package80. We consider values ≥0.95 to indicate a high degree of similarity between factors, and values in the range of [0.85–0.94] to indicate a moderate degree of similarity between factors42.


Developmental comparisons. Our analyses of development focus on comparisons of two age groups, ‘adults’ versus ‘children’, rather than analyses of age-related differences within the child sample. This is because our primary interest is the covariance structure of participants’ responses, which we explore using EFA, an analysis that occurs at the level of a group of participants (rather than an individual participant). Our samples were quite large for cross-cultural developmental research but not large enough to conduct EFAs on subsamples of different age ranges, although we consider this a promising way forward for future research. Instead, the current comparisons of ‘children’ versus ‘adults’ provide an indication of how concepts of mental life might change between childhood and adulthood in each site, laying the foundation for future studies to confirm that differences between children and adults are primarily related to learning and development (rather than, for example, cohort effects), and to hone in on how such differences might evolve and (most likely) diminish over the course of childhood.


Participant demographics. San Francisco Bay Area, USA. The US adult sample consisted of n = 127 adults (98% of our planned minimum sample) from the general population, ranging in age from 18 to 75 years, recruited primarily at the Los Gatos Department of Motor Vehicles; 44% of the sample self-identified as female and 56% as male. The US child sample consisted of n = 117 children (90% of our planned minimum sample), ranging in age from 5 to 12 years, recruited primarily at the San Jose Tech Museum of Innovation. Although our minimum age was intended to be 7 years, we included the three children younger than this cut-off in the sample because we were under our target goal of 130 children. Previous work with US children suggests that children as young as 4 years of age are capable of participating in this task41. Some 57% of the children were female and 43% were male.

See Supplementary Tables 4 and 5 for demographic information about these samples. At a high level, we note that these were ethnically diverse samples, reflecting the general population of the Bay Area; however, 98% of adults and 95% of children indicated that English was the language (or one of the languages) they spoke at home growing up. Judging from adults’ responses to questions about class, these samples appear to have been drawn from a relatively highly educated, middle-class urban community – though perhaps less highly educated and less wealthy than the popular image of people who live in Silicon Valley. Finally, many adults in this sample were at least moderately spiritual or religious, but relatively few reported practicing a specific religion; most parents of children in this sample reported that their families were either Christian or not religious, or declined to answer questions about religion.

In terms of the target character participants assessed, n = 13 adults and n = 11 children assessed rocks, n = 13 adults and n = 12 children assessed flowers, n = 12 adults and n = 13 children assessed beetles, n = 13 adults and n = 12 children assessed chickens, n = 13 adults and n = 13 children assessed mice, n = 13 adults and n = 11 children assessed dogs, n = 12 adults and n = 10 children assessed children, n = 12 adults and n = 11 children assessed mobile phones, n = 13 adults and n = 12 children assessed ghosts and n = 13 adults and n = 12 children assessed God.


Cape Coast, Ghana. The Ghanaian adult sample consisted of n = 150 adults from the general population (100% of our planned maximum sample), ranging in age from 17 to 68 years, recruited in the outdoor waiting area of a government-run insurance agency in the mid-sized city of Cape Coast; 56% of the sample self-identified as female and 44% as male. The Ghanaian child sample consisted of n = 150 children (100% of our planned maximum sample), ranging in age from 6 to 11 years, who participated at their school, which was also located in Cape Coast. Although our minimum age was intended to be 7 years, we included the six children younger than this cut-off in the sample to match the US child sample. Some 53% of children were female and 47% were male.

See Supplementary Tables 4 and 5 for demographic information about these samples. At a high level, we note that the predominant ethnicity in these samples was Fante, reflecting the Cape Coast area; 67% of adult participants and 71% of child participants mentioned the Fante language as one of the languages spoken at home when growing up, and 10% of adults and 19% of children mentioned Twi (which is mutually intelligible with Fante). The adult sample was diverse in terms of social class; the child sample was probably from a somewhat higher social class than the adult sample. Finally, these were overwhelmingly Christian samples, representative of the Cape Coast area.

In terms of the target character participants assessed, n = 15 adults and n = 15 children assessed rocks, n = 15 adults and n = 15 children assessed flowers, n = 15 adults and n = 16 children assessed beetles, n = 15 adults and n = 16 children assessed chickens, n = 15 adults and n = 14 children assessed mice, n = 15 adults and n = 15 children assessed dogs, n = 15 adults and n = 14 children assessed children, n = 15 adults and n = 15 children assessed mobile phones, n = 15 adults and n = 15 children assessed ghosts and n = 15 adults and n = 15 children assessed God.


Chiang Mai, Thailand. The Thai adult sample consisted of n = 150 adults from the general population (100% of our planned maximum sample), ranging in age from 17 to 70 years, recruited in a Chiang Mai bus station serving locals and commuters from nearby regions in Chiang Mai province; 59% of the sample self-identified as female, 40% as male and 1% as another gender. The Thai child sample consisted of n = 152 children (101% of our planned maximum sample), ranging in age from 6 to 11 years, who participated at one of two schools located in the city of Chiang Mai. Although our minimum age was intended to be 7 years, we included the one child younger than this cut-off in the sample to match the US child sample. Some 55% of children were female and 45% were male.

See Supplementary Tables 4 and 5 for demographic information about these samples. At a high level, we note that these were ethnically Thai samples, overwhelmingly Buddhist and fairly high in socioeconomic status.

In terms of the target character participants assessed, n = 15 adults and n = 15 children assessed rocks, n = 15 adults and n = 16 children assessed flowers, n = 15 adults and n = 15 children assessed beetles, n = 15 adults and n = 15 children assessed chickens, n = 15 adults and n = 15 children assessed mice, n = 15 adults and n = 15 children assessed dogs, n = 15 adults and n = 15 children assessed children, n = 15 adults and n = 15 children assessed mobile phones, n = 15 adults and n = 16 children assessed ghosts and n = 15 adults and n = 15 children assessed God.


Shanghai, China. The Chinese adult sample consisted of n = 136 adults from the general population (over 100% of our planned minimum sample, and 91% of our planned maximum sample), ranging in age from 18 to 87 years, recruited either in public spaces in Shanghai or through personal connections via video chat; researchers reported that recruiting strangers in public spaces and asking them personal questions (for example, demographic information) was quite difficult in this cultural setting. Some 53% of the sample self-identified as female and 46% as male. The Chinese child sample consisted of n = 131 children (over 100% of our planned minimum sample and 87% of our planned maximum sample), ranging in age from 8 to 12 years, who participated at their school or in neighbourhood gathering places in Shanghai, or via video chat. Some 50% of children were female and 50% were male.

See Supplementary Tables 4 and 5 for demographic information about these samples. At a high level, we note that these were majority Han Chinese samples, in which all participants indicated they were born in China, in Chinese autonomous regions or in Taiwan, though many had come from other provinces outside of Shanghai. Participants were generally fairly high in socioeconomic status, and generally indicated that they were not religious.

In terms of the target character participants assessed, n = 14 adults and n = 13 children assessed rocks, n = 14 adults and n = 14 children assessed flowers, n = 0 adults and n = 1 child assessed beetles, n = 14 adults and n = 11 children assessed crickets, n = 13 adults and n = 14 children assessed chickens, n = 14 adults and n = 13 children assessed mice, n = 14 adults and n = 13 children assessed dogs, n = 13 adults and n = 13 children assessed children, n = 13 adults and n = 14 children assessed mobile phones, n = 13 adults and n = 13 children assessed ghosts and n = 13 adults and n = 12 children assessed God.


Port Vila and Malekula, Vanuatu. Half of each of the Ni-Vanuatu samples (adults and children) was collected in and around the capital city of Vanuatu, Port Vila and half was collected rural villages on the island of Malekula. The Ni-Vanuatu adult sample consisted of n = 148 adults from the general population (over 100% of our planned minimum sample, 99% of our planned maximum sample), ranging in age from 15 to 75 years, who participated in their homes; 69% of the sample self-identified as female and 31% as male. An additional 16 adults participated but were excluded from the current analyses because they assessed a target entity that was not assessed in other field sites (a pig, n = 15) or because we were missing information about which target entity they assessed (n = 1). The Ni-Vanuatu child sample consisted of n = 143 children (over 100% of our planned minimum sample, 95% of our planned maximum), ranging in age from 6–12 y, who participated in schools, daycare centres or homes; an additional 26 children participated but were excluded from the current analyses because they assessed a target entity that was not assessed in other field sites (a pig, n = 16) or because they were younger than the de facto minimum age of 6 years in other samples (n = 6) or older than the maximum age of 12 years (n = 4). Some 57% of children were female and 43% were male.

Owing to an error on our part, information about ethnicity, place of birth, education and perceptions of wealth and class were not collected in Vanuatu. We are confident that all participants would identify ethnically as Ni-Vanuatu, and that the subsample of adults who participated in and around the city Port Vila probably had more formal education than those adults who participated in rural villages on Malekula. These were overwhelmingly Christian samples, which is representative of the surrounding areas. See Supplementary Tables 4 and 5 for (limited) demographic information about these samples.

In terms of the target character participants assessed, n = 15 adults and n = 13 children assessed rocks, n = 15 adults and n = 14 children assessed flowers, n = 13 adults and n = 8 children assessed beetles, n = 2 adults and n = 6 children assessed crickets, n = 14 adults and n = 15 children assessed chickens, n = 15 adults and n = 14 children assessed mice, n = 15 adults and n = 16 children assessed dogs, n = 15 adults and n = 15 children assessed children, n = 14 adults and n = 15 children assessed mobile phones, n = 15 adults and n = 13 children assessed ghosts and n = 15 adults and n = 14 children assessed God.


Reporting Summary. Further information on the research design is available in the Nature Research Reporting Summary linked to this article.

Data availability

The behavioural data that support the findings of this study, along with analysis code and study materials, have been deposited in Open Science Framework with the identifier https://doi.org/10.17605/osf.io/8s36e (https://osf.io/8s36e)81.

Code availability

The analysis code that generated the results and visualizations that support the findings of this study is available on GitHub at https://github.com/kgweisman/mental-life-culture-development (and linked to the OSF project provided in the previous section).

References

  1. Heelas, P. & Lock, A. Indigenous Psychologies: The Anthropology of the Self (Academic Press, 1981).

Google Scholar

  1. Lillard, A. Ethnopsychologies: cultural variations in theories of mind. Psychol. Bull. 123, 3–32 (1998).

CAS PubMed Google Scholar

  1. Luhrmann, T. M. et al. Toward an anthropological theory of mind. Suom. Antropol. J. Finnish Anthropol. Soc. 36, 5–69 (2011).

Google Scholar

  1. Majid, A. et al. Differential coding of perception in the world’s languages. Proc. Natl Acad. Sci. USA 115, 11369–11376 (2018).

CAS PubMed PubMed Central Google Scholar

  1. Lienhardt, G. Divinity and Experience: The Religion of the Dinka (Oxford Univ. Press, 1961).

  2. Ingold, T. Becoming persons: consciousness and sociality in human evolution. Cult. Dyn. 4, 355–378 (1991).

Google Scholar

  1. Astuti, R. Are we all natural dualists? A cognitive development approach. The Malinowski Memorial Lecture, 2000. J. R. Anthropol. Inst. 7, 429–447 (2001).

Google Scholar

  1. Astuti, R. Are we all natural dualists? A cognitive developmental approach. J. R. Anthropol. Inst. 7, 429–447 (2001).

Google Scholar

  1. Bloom, P. Descartes’ Baby: How the Science of Child Development Explains What Makes Us Human (Basic Books, 2004).

Google Scholar

  1. Spelke, E. S. in Core Knowledge and Conceptual Change (eds Barner, D. & Baron, A. S.) 279–300 (Oxford Univ. Press, 2016). https://doi.org/10.1093/acprof:oso/9780190467630.003.0016

  2. Wellman, H. M. in Navigating the Social World: What Infants, Children and Other Species Can Tell Us (eds Banaji, M. R. & Gelman, S. A.) 69–74 (Oxford Univ. Press, 2013). https://doi.org/10.1093/acprof:oso/9780199890712.003.0014

  3. Wynn, K. Some innate foundations of social and moral cognition. Innate Mind 3, 330–347 (2008).

Google Scholar

  1. Emmons, N. A. & Kelemen, D. The development of children’s prelife reasoning: evidence from two cultures. Child Dev. 85, 1617–1633 (2014).

PubMed Google Scholar

  1. Emmons, N. A. & Kelemen, D. A. I’ve got a feeling: urban and rural indigenous children’s beliefs about early life mentality. J. Exp. Child Psychol. 138, 106–125 (2015).

PubMed Google Scholar

  1. Bering, J. M. & Bjorklund, D. F. The natural emergence of reasoning about the afterlife as a developmental regularity. Dev. Psychol. 40, 217–233 (2004).

PubMed Google Scholar

  1. Bering, J. M., Blasi, C. H. & Bjorklund, D. F. The development of ‘afterlife’ beliefs in religiously and secularly schooled children. Br. J. Dev. Psychol. 23, 587–607 (2005).

PubMed Google Scholar

  1. Harris, P. L. & Giménez, M. Children’s acceptance of conflicting testimony: the case of death. J. Cogn. Cult. 5, 143–164 (2005).

Google Scholar

  1. Astuti, R. & Harris, P. L. Understanding mortality and the life of the ancestors in rural Madagascar. Cogn. Sci. 32, 713–740 (2008).

PubMed Google Scholar

  1. Lane, J. D., Zhu, L., Evans, E. M. & Wellman, H. M. Developing concepts of the mind, body, and afterlife: exploring the roles of narrative context and culture. J. Cogn. Cult. 16, 50–82 (2016).

Google Scholar

  1. Watson-Jones, R. E., Busch, J. T. A., Harris, P. L. & Legare, C. H. Does the body survive death? Cultural variation in beliefs about life everlasting. Cogn. Sci. 41, 455–476 (2017).

PubMed Google Scholar

  1. Richert, R. A. & Harris, P. The ghost in my body: children’s developing concept of the soul. J. Cogn. Cult. 6, 409–427 (2006).

Google Scholar

  1. Richert, R. A., Harris, P. L. & Richert, R. A. Dualism revisited: body vs. mind vs. soul. J. Cogn. Cult. 8, 99–115 (2008).

Google Scholar

  1. Cohen, E. & Barrett, J. When minds migrate: conceptualizing spirit possession. J. Cogn. Cult. 8, 23–48 (2008).

Google Scholar

  1. Cohen, E., Burdett, E., Knight, N. & Barrett, J. Cross-cultural similarities and differences in person–body reasoning: experimental evidence from the United Kingdom and Brazilian Amazon. Cogn. Sci. 35, 1282–1304 (2011).

PubMed Google Scholar

  1. Gray, H. M., Gray, K. & Wegner, D. M. Dimensions of mind perception. Science 315, 619 (2007).

CAS PubMed Google Scholar

  1. Weisman, K., Dweck, C. S. & Markman, E. M. Rethinking people’s conceptions of mental life. Proc. Natl Acad. Sci. USA 114, 11374–11379 (2017).

CAS PubMed PubMed Central Google Scholar

  1. Malle, B. F. How many dimensions of mind perception really are there? Proc. 41st Annuual Meeting of the Cognitive Science Society 2268–2274 (2019).

  2. Willard, A. K. & McNamara, R. A. The minds of God(s) and humans: differences in mind perception in Fiji and North America. Cogn. Sci. 43, (2019).

  3. Takahashi, H., Ban, M. & Asada, M. Semantic differential scale method can reveal multi-dimensional aspects of mind perception. Front. Psychol. 7, 1717 (2016).

  4. Ojalehto, B. L., Medin, D. L. & García, S. G. Grounding principles for inferring agency: two cultural perspectives. Cogn. Psychol. 95, 50–78 (2017).

PubMed Google Scholar

  1. Haslam, N., Kashima, Y., Loughnan, S., Shi, J. & Suitner, C. Subhuman, inhuman, and superhuman: contrasting humans with nonhumans in three cultures. Soc. Cogn. 26, 248–258 (2008).

Google Scholar

  1. Luhrmann, T. Mind and Spirit: a comparative theory. J. R. Anthropol. Inst. 26, 9–27 (2020).

Google Scholar

  1. Luhrmann, T. M. et al. Sensing the presence of gods and spirits across cultures and faiths. Proc. Natl Acad. Sci. USA 118, e2016649118 (2021).

CAS PubMed PubMed Central Google Scholar

  1. Aulino, F. From karma to sin: a kaleidoscopic theory of mind and Christian experience in northern Thailand. J. R. Anthropol. Inst. 26, 28–44 (2020).

Google Scholar

  1. Brahinsky, J. Crossing the buffer: ontological anxiety among US evangelicals and an anthropological theory of mind. J. R. Anthropol. Inst. 26, 45–60 (2020).

Google Scholar

  1. Dulin, J. Vulnerable minds, bodily thoughts, and sensory spirits: local theory of mind and spiritual experience in Ghana. J. R. Anthropol. Inst. 26, 61–76 (2020).

Google Scholar

  1. Dzokoto, V. A. Adwenhoasem: an Akan theory of mind. J. R. Anthropol. Inst. 26, 77–94 (2020).

Google Scholar

  1. Ng, E. The mind and the devil: porosity and discernment in two Chinese charismatic-style churches. J. R. Anthropol. Inst. 26, 95–113 (2020).

CAS Google Scholar

  1. Smith, R. E. Empowered imagination and mental vulnerability: local theory of mind and spiritual experience in Vanuatu. J. R. Anthropol. Inst. 26, 114–130 (2020).

Google Scholar

  1. Weisman, K., Dweck, C. S. & Markman, E. M. Children’s intuitions about the structure of mental life. in Proc. 39th Annual Meeting of the Cognitive Science Society (2017).

  2. Weisman, K., Dweck, C. S. & Markman, E. M. Folk philosophy of mind: changes in conceptual structure between 4–9y of age. in Proc. 40th Annual Meeting of the Cognitive Science Society (2018).

  3. Lorenzo-Seva, U. & ten Berge, J. M. F. Tucker’s congruence coefficient as a meaningful index of factor similarity. Methodology 2, 57–64 (2006).

Google Scholar

  1. Taylor, C. A Secular Age (Belknap Press, 2007).

  2. Heim, M. The Forerunner of All Things: Buddhaghosa on Mind, Intention, and Agency (Oxford Univ. Press, 2014).

Google Scholar

  1. Virág, C. The Emotions in Early Chinese Philosophy (Oxford Univ. Press, 2017).

Google Scholar

  1. Tsai, J. L., Knutson, B. & Fung, H. H. Cultural variation in affect valuation. J. Pers. Soc. Psychol. 90, 288–307 (2006).

PubMed Google Scholar

  1. Tsai, J. L., Miao, F. F. & Seppala, E. Good feelings in Christianity and Buddhism: religious differences in ideal affect. Pers. Soc. Psychol. Bull. 33, 409–421 (2007).

PubMed Google Scholar

  1. Adams, G. The cultural grounding of personal relationship: enemyship in North American and West African worlds. J. Pers. Soc. Psychol. 88, 948–968 (2005).

PubMed Google Scholar

  1. Asamoah-Gyadu, K African Charismatics (Brill, 2004).

Google Scholar

  1. Meyer, B Translating the Devil (African World Press, 1999).

Google Scholar

  1. Eriksen, A. Gender, Christianity and Change in Vanuatu (Ashgate, 2008).

  2. Clegg, J. M., Wen, N. J. & Legare, C. H. Is non-conformity WEIRD? Cultural variation in adults’ beliefs about children’s competency and conformity. J. Exp. Psychol. Gen. 146, 428–441 (2017).

PubMed Google Scholar

  1. Forsyth, M. in A Bird That Flies With Two Wings: Kastom and State Justice Systems in Vanuatu 95–137 (Australian National Univ., 2009).

  2. Curtin, C. M. et al. Kinship intensity and the use of mental states in moral judgment across societies. Evol. Hum. Behav. https://doi.org/10.1016/j.evolhumbehav.2020.07.002 (2020).

Article Google Scholar

  1. Enke, B. Kinship, cooperation, and the evolution of moral systems. Q. J. Econ. 134, 953–1019 (2019).

Google Scholar

  1. Legare, C. H. The development of cumulative cultural learning. Annu. Rev. Dev. Psychol. 1, 119–147 (2019).

Google Scholar

  1. Nook, E. C., Sasse, S. F., Lambert, H. K., McLaughlin, K. A. & Somerville, L. H. Increasing verbal knowledge mediates development of multidimensional emotion representations. Nat. Hum. Behav. 1, 881–889 (2017).

PubMed PubMed Central Google Scholar

  1. Widen, S. C. Children’s interpretation of facial expressions: the long path from valence-based to specific discrete categories. Emot. Rev. 5, 72–77 (2013).

Google Scholar

  1. Stenhaug, B. A., Frank, M. C. & Way, J. S. The latent factor structure of developmental change in early childhood. Proc. 42nd Annual Meeting of the Cognitive Science Society 323–328 (2020).

  2. Saxe, A. M., McClelland, J. L. & Ganguli, S. A mathematical theory of semantic development in deep neural networks. Proc. Natl Acad. Sci. USA 166, 11537–11546 (2019).

Google Scholar

  1. Heyes, C. Submentalizing: I am not really reading your mind. Perspect. Psychol. Sci. 9, 131–143 (2014).

PubMed Google Scholar

  1. Chudek, M., McNamara, R. A., Birch, S., Bloom, P. & Henrich, J. Do minds switch bodies? Dualist interpretations across ages and societies. Relig. Brain Behav. 8, 354–368 (2018).

Google Scholar

  1. Slingerland, E. & Chudek, M. The prevalence of mind–body dualism in early China. Cogn. Sci. 35, 997–1007 (2011).

PubMed Google Scholar

  1. Forstmann, M. & Burgmer, P. Adults are intuitive mind–body dualists. J. Exp. Psychol. Gen. 144, 222–235 (2015).

PubMed Google Scholar

  1. Stanovich, K. E. Implicit philosophies of mind: the dualism scale and its relation to religiosity and belief in extrasensory perception. J. Psychol. 123, 5–23 (1989).

Google Scholar

  1. Gray, K., Knickman, T. A. & Wegner, D. M. More dead than dead: perceptions of persons in the persistent vegetative state. Cognition 121, 275–280 (2011).

PubMed Google Scholar

  1. Gray, K., Knobe, J., Sheskin, M., Bloom, P. & Barrett, L. F. More than a body: mind perception and the nature of objectification. J. Pers. Soc. Psychol. 101, 1207–1220 (2011).

PubMed Google Scholar

  1. Hood, B., Gjersoe, N. L. & Bloom, P. Do children think that duplicating the body also duplicates the mind? Cognition 125, 466–474 (2012).

PubMed Google Scholar

  1. Barrett, H. C. et al. Small-scale societies exhibit fundamental variation in the role of intentions in moral judgment. Proc. Natl Acad. Sci. USA 113, 4688–4693 (2016).

CAS PubMed PubMed Central Google Scholar

  1. Levisen, C. & Jogie, M. R. The Trinidadian ‘Theory of Mind’: personhood and postcolonial semantics. Int. J. Lang. Cult. 2, 169–193 (2015).

Google Scholar

  1. Wierzbicka, A. Soul and mind: linguistic evidence for ethnopsychology and cultural history. Am. Anthropol. 91, 41–58 (1989).

Google Scholar

  1. Markus, H. R. & Kitayama, S. Culture and the self: implications for cognition, emotion, and motivation. Psychol. Rev. 98, 224–253 (1991).

Google Scholar

  1. & Aulino, F. Rituals of Care: Karmic Politics in an Aging Thailand (Cornell Univ. Press, 2019).

Google Scholar

  1. Chudek, M. & Henrich, J. Culture–gene coevolution, norm-psychology and the emergence of human prosociality. Trends Cogn. Sci. 15, 218–226 (2011).

PubMed Google Scholar

  1. Brink, K. A., Gray, K. & Wellman, H. M. Creepiness creeps in: uncanny valley feelings are acquired in childhood. Child Dev. https://doi.org/10.1111/cdev.12999 (2017).

  2. Lane, J. D., Wellman, H. M. & Evans, E. M. Children’s understanding of ordinary and extraordinary minds. Child Dev. 81, 1475–1489 (2010).

PubMed PubMed Central Google Scholar

  1. Norenzayan, A Big Gods: How Religion Transformed Cooperation and Conflict (Princeton Univ. Press, 2013).

Google Scholar

  1. R Core Team. R: A language and environment for statistical computing (2013).

  2. Revelle, W. psych: Procedures for personality and psychological research (v1.8.4) (2018).

  3. Wild, F. lsa: Latent sematic analysis (v0.73.2) (2020).

  4. Weisman, K., Legare, C. H. & Luhrmann, T. M. Similarities and differences in concepts of mental life among adults and children in five cultures. Open Sci. Found. https://doi.org/10.17605/OSF.IO/8S36E (2020).

Download references

Acknowledgements

Thanks to the research teams in each field site; to Ellen Markman and Carol Dweck for wise advice on these studies; and to Bertram Malle and two anonymous reviewers for thoughtful feedback on an earlier version of this manuscript. See Supplementary Information for extended acknowledgements. This material is based on work supported by the John Templeton Foundation under Grant No. 55427 to T.M.L., by the National Science Foundation Graduate Research Fellowship Program under Grant No. DGE114747 to K.W., and by a William R. & Sara Hart Kimball Stanford Graduate Fellowship to K.W. The funders had no role in study design, data collection and analysis, decision to publish or preparation of the manuscript.

Author contributions

K.W. developed the study concept. K.W. and N.R.-Z. curated the data. K.W. carried out formal analysis of the data. T.M.L. and C.H.L. acquired funding for the study. F.A., J.D.B., J.C.D., E.N., N.R.-Z. and R.E.S. undertook the study investigation. K.W., C.H.L., T.M.L., F.A., J.D.B., J.C.D., V.A.D., E.N., N.R.-Z. and R.E.S. developed the study methodology. T.M.L. and N.R.-Z. administered the project. T.M.L., K.W., F.A., J.C.D., E.N., N.R.-Z. and R.E.S. supervised the study. K.W. undertook data validation and visualization. K.W. wrote the original draft of the manuscript. All authors reviewed and edited the manuscript.

Competing interests

The authors declare no competing financial interests.

Additional information

Supplementary information The online version contains supplementary material available at https://doi.org/10.1038/s41562-021-01184-8. Correspondence and requests for materials should be addressed to K.W.

Peer review information Nature Human Behaviour thanks Bertram Malle and the other, anonymous, reviewer(s) for their contribution to the peer review of this work. Peer reviewer reports are available.

Reprints and permissions information is available at www.nature.com/reprints.

Publisher’s note Springer Nature remains neutral with regard to jurisdictional claims in published maps and institutional affiliations.

© The Author(s), under exclusive licence to Springer Nature Limited 2021


w-k-weisman-k-legare-c-h-smith-r-e-et-al-similarit-5.jpg
w-k-weisman-k-legare-c-h-smith-r-e-et-al-similarit-6.jpg
w-k-weisman-k-legare-c-h-smith-r-e-et-al-similarit-7.jpg

[1] Department of Psychology, Stanford University, Stanford, CA, USA.

[2] Department of Anthropology, Stanford University, Stanford, CA, USA.

[3] Department of Psychology, The University of Texas at Austin, Austin, TX, USA.

[4] Department of Social Anthropology, University of Cambridge, Cambridge, UK.

[5] Department of African and African American Studies, Virginia Commonwealth University, Richmond, VA, USA.

[6] Department of Anthropology, University of Massachusetts Amherst, Amherst, MA, USA.

[7] Amsterdam School for Cultural Analysis, University of Amsterdam, Amsterdam, the Netherlands.

[8] Department of Behavioral Science, Utah Valley University, Orem, UT, USA. ✉e-mail: kgweisman@gmail.com

[9] Ibid.

[10] Ibid.

[11] Ibid.


Nature Human Behaviour, 5 (10), pages 1358–1368 (2021). <www.doi.org/10.1038/s41562-021-01184-8>
ISSN 2397–3374 (online)