Abstract

This paper provides a critical examination of Theodore Kaczynski’s anti-technology ideology, arguing that although his core theory of “self-propagating systems” offers a logically compelling critique of technological society, it suffers from a fundamental epistemological flaw: it functions as a tautology that retrospectively labels successful entities without providing predictive or causal mechanisms, and it consequently leads to several paradoxes. In it, I attempt to demonstrate that this theoretical framework—which posits that natural selection among complex systems inevitably leads to global collapse—is not a synthetic a priori truth but a post-hoc description that cannot be falsified. I further argue that his theory as a whole is insufficiently supported by argumentation. In the final section, I provide a logical explanation of how one might scrutinize these ideas.

Introduction

Theodore John Kaczynski in his early childhood was an exceptionally gifted young individual who, from an early age, became fascinated with a hunter-gatherer lifestyle and would, with his brother David Kaczynski, spend much of his time reading various books and playing in the wilderness. Fast forward to the early 1960s, he would graduate from Harvard, then gain his PhD from the University of Michigan with an exceptional paper examining boundary functions and later go on to become an assistant professor of mathematics at Berkeley, where he would come to teach for about two years. However, his opposition to technology had already crystallized; as he later stated, “My last year at Harvard was the year when I definitely decided I was against technology.”[1] He resigned from his teaching position at Berkeley and, before moving to the wilderness of Montana, set off in his car with a plan to murder a scientist.[2] In Montana, his radicalization intensified from a philosophical opposition into a vengeful hatred against technology after he became aware of the destruction of the forest. During this time he identified himself as the Freedom Club[3] and would come to be referred to by the FBI as the person behind various mail bombs in the Chicago Bay Area as the “Unabomber,” a combination of “university and airline bomber,” a name by which Kaczynski later came to become widely known. After a twenty-year campaign, in 1995, Ted Kaczynski would send his manifesto, railing against modern technological society, to The New York Times and The Washington Post. He promised to desist from terrorism on condition that they publish his manifesto[4], so threatening continued violence they could have stopped if they didn’t.[5] The FBI, after a close examination, would come to recommend to the news outlets to publish his manifesto in the hope that somebody would come to identify the paper. After the manifesto was fully printed in April 1995, it was read by members of Ted Kaczynski’s very own family who would recognize his style of arguments and word choices and would later contact the police, which led to his arrest. After Ted Kaczynski’s arrest, he would later be sentenced to life in prison for firstdegree murder and obstruction of properties and other misdemeanors. During this time he would come to hold various correspondences with other environmentalists and journalists and come to write other papers like Anti-Tech Revolution: Why and How[6], which was rushed mostly due to Kaczynski’s old age. In this work, he would come to perfect his argumentation and elaborate his reasoning on why we are approaching worldwide destruction and why technology must be stopped.

However, despite the ethical considerations of his means of propagating his ideas by means of violence, this is not a condemnation of Ted. All I’m doing here is examining his line of argumentation carefully. I think this is necessary because I think it’s necessary to address his ideas on a more serious level—especially as those ideas are becoming increasingly mainstream, recently with the television series Manhunt: Unabomber[7] and the movie Ted K[8], and with the promised release of the next edition, and with a recent conviction of a Liverpool man that pledged to “finish what he started” having disseminated bomb-making instructions to online anarchist networks under the banner of Kaczynski’s ideas.[9] In light of this, it is all the more urgent to engage with Kaczynski’s ideas on a serious level something that, from a neutral standpoint, has yet to be done extensively. The only people I’ve been able to find who engaged in serious discussion with Ted Kaczynski himself were David Skrbina, who for a long time held a tight correspondence and contributed to Anti-Tech Revolution: Why and How[10], and Ted’s long-time Spanish correspondent, Ultimo[11], who has published a critique of Anti-Tech Revolution: Why and How. However, due to Ultimo steel-manning these ideas, I do not believe it is really a critique in a more serious manner.[12][13] Another reason is the ethical implication which his epistemology implies. Ted famously concluded after a long examination on what he calls the self-propagation theory that an objective revolution is necessary, which has serious ethical meanings in terms of the derived notions Ted would come to develop, which not only shows this is a universal matter by the necessary response. Furthermore, I believe from a serious standpoint that Ted Kaczynski’s ideas are worthy of discussion instead of condemning them by his acts of violence alone. It is clear that Ted spent a majority of his time carefully laying down his line of argumentation and developed these ideas over years while still being at Harvard until later moving to Montana, where he would come to spend even more time reading various critical authors like Jacques Ellul, whom he became obsessed with.[14] So I believe to condemn his actions because he was a madman is intellectual dishonesty and would likewise mean that we shouldn’t take authors like Karl Marx and other political authors seriously.

His Core Argument

In our examination of Ted Kaczynski’s doctrine of self-propagating systems—as set forth in his 2011 letter Why the Technological System Will Destroy Itself[15] and unfolded with fuller rigor in his subsequent work Anti-Tech Revolution: Why and How[16]—we encounter at its heart a discovery of the first rank, a morphological insight into the nature of the living that has waited long for its appointed expression. His central conception, which animates both these writings with the same unifying vision, is that of the “self-propagating system”: that entity which not merely endures but actively wills its own continuance, which reaches forth into its environment and impresses its form upon whatever it touches. Such a system, as he demonstrates, pursues its destiny through two avenues, and two only: either it swells in magnitude and intensifies in power, or it generates from itself progeny-systems that bear the indelible stamp of its own essential traits.

Here is a principle of universal application, one that bridges the supposed chasm between the organic and the social, between the colony of ants and the corporation of men. What Kaczynski has perceived—and it is a perception that eludes the specialized vision of the academic disciplines, each confined to its own narrow province—is that the same form-drive which compels the wolf-pack to hold its territory compels also the nation to guard its borders, the corporation to expand its scope, the political party to extend its influence. These are not analogies, not mere metaphors borrowed from biology and applied to social life by an act of poetic licence. They are expressions, each in its own medium, of one and the same underlying reality: the will-to-propagate that is the fundamental signature of the living as such. The ant-colony and the steel trust, the tribe and the superpower —these are not comparable because they resemble one another accidentally; they resemble one another because they proceed from the same morphological necessity.

He discerns, too, the hierarchical ordering of these entities into what he names subsystems and supersystems. Here a rigorous structuralism announces itself. The individual human is contained within the party, the party within the state, the state within the still-greater vessel of the civilization; each level both constrains and enables those beneath it, each reaches upward toward an ever more comprehensive unity. This is not the static taxonomy of the classifier but the dynamic architecture of the living, in which every part exists only through its relation to the whole, and the whole only through the coordinated action of its parts. The system-builder who neglects this hierarchical constitution neglects the very essence of his subject.

And now Kaczynski announces his fundamental theorem. He demonstrates that the principle of selection —that same power which Darwin disclosed in the organic realm—holds sway wherever self-propagating systems contend. His formulation, which appears in Anti-Tech Revolution: Why and How, possesses the austere finality of the axiomatic:

Those self-propagating systems having the traits that suit them to survive and propagate themselves tend to survive and propagate themselves better than other self-propagating systems.

— from Anti-Tech Revolution: Why and How[17]

From this first principle, from this granite foundation, all else follows. It is, in its logical structure, cognate with the law of non-contradiction: it cannot be denied without self-stultification. He illustrates its operation with the image of rival kingdoms. That realm which clears more forest, which plants more field, which extracts more from the soil, will feed more mouths and arm more hands. Its neighbor, restrained by piety or prudence, languishes and is consumed. Thus the environment, by the impersonal working of competition, is delivered over to those systems that know no moderation, that seize upon the present moment with the concentration of purpose that alone secures victory. The victor is not victorious because he is called fit; he is called fit because he has demonstrated, in the only court that matters, his superiority. The demonstration is experimental, not verbal.

Natural selection favors systems that maximize their immediate advantage. Long-term consequences (like environmental collapse) are irrelevant if they don’t impact short-term propagation.

— from Anti-Tech Revolution: Why and How[18]

Here Kaczynski establishes a second axiom, no less fundamental than the first. The system that looks to the distant horizon while its competitor devours the present will not survive to see that horizon. The long term is the privilege of the extinct. What he has identified is not a lamentable defect in the constitution of self-propagating systems but the very mechanism of their perfection: it is precisely this ruthless concentration on the immediate, this refusal to be distracted by remote possibilities, that hones the system to its finest edge and equips it for the contests to come. The voice that cries “sustainability” is the voice of the already-vanquished, seeking to bind the victor with chains of words.

From this primal impulse there follows, with iron necessity, a second consequence. The competition among self-propagating systems does not merely favor certain traits; it actively refines and intensifies them through successive generations. Each system must process ever more information, must extend its sensory apparatus ever further into the surrounding world, must respond with ever greater rapidity to ever more distant perturbations. This is not optional; it is the condition of continued existence. The system that processes less information than its rival will be outmanoeuvred; the system whose responses are slower will be overtaken; the system whose reach is shorter will be encircled and absorbed.

Technology, which is the distinctive mode through which self-propagating systems extend their dominion over nature, expands the arena of competition with each passing decade. The railroad annihilates space; the telegraph annihilates time; the radio and the satellite bind the continents into a single nervous system. And with each such expansion, the minimal scale of viability rises. The local manufacturer who once commanded his provincial market now confronts the global trust; the regional polity that once secured its borders now finds itself penetrated by forces it cannot see, let alone resist. The many are winnowed to the few; the weak are devoured by the strong; the strong contend among themselves for the ultimate prize.

Technological advancements in transportation and communication constantly expand the possible “playing field.” Natural selection will inevitably produce SPSs that grow to the maximum possible size, leading to a world dominated by a few global super-systems (global corporations, superpowers).

— from Anti-Tech Revolution: Why and How[19]

Thus we arrive, by a path of rigorous deduction, at the terminal phase of this development. The many have been winnowed to the few; the local and the provincial have been absorbed into the planetary and the total. A single world-system now encompasses the globe, its fibres threaded through every land, its pulses regulating the liferhythms of billions. The age of the nation-state, which succeeded the age of the principality, now gives way to the age of the supersystem—entities of such magnitude and complexity as have never before existed on this earth.

And here Kaczynski discloses what is perhaps his most profound and most unsettling insight. This hypertrophied organism, this leviathan of interlocking subsystems, has grown so complex that no mind can comprehend it, so tightly coupled that no perturbation can be localized. Its very perfection is the source of its fragility. A failure in one quarter propagates instantaneously to all others; a disruption in the supply of petroleum in one hemisphere paralyses the factories of the other; a tremor in the financial markets of Tokyo sends shockwaves through the exchanges of New York and London. The supertechnology that once conferred competitive advantage now becomes the instrument of universal vulnerability. And the Earth itself, that ancient and patient substrate, can no longer sustain the demands placed upon it. The forests are felled; the soils are exhausted; the oceans are poisoned; the very atmosphere is transformed. Each self-propagating system, in its desperate struggle for immediate advantage, consumes the capital on which all systems ultimately depend. Yet none can refrain; the system that conserves while its rival consumes is eliminated, and the conservationist’s restraint perishes with it.

We will argue that if the development of the technological world-system is allowed to proceed to its logical conclusion, then in all probability the Earth will be left a dead planet-a planet on which nothing will remain alive except, maybe, some of the simplest organisms-certain bacteria, algae, etc.-that are capable of surviving under extreme conditions.

— from Anti-Tech Revolution: Why and How[20]

This is the vision that Kaczynski offers us. It is not cheerful; it was not meant to be. It is the truth, rigorously derived from first principles, confirmed by every page of modern history, and demonstrable by the methods of logical analysis. The self-propagating system, left to its own dynamic, evolves toward ever greater size, ever greater complexity, ever greater technological power— and, finally, toward ever greater fragility. The same forces that drive its ascent prepare its fall. The contest that began in the primeval forest, among packs and tribes contending for territory, culminates on a global stage, among superpowers and transnational corporations contending for the ultimate prize of total dominion. And the price of this contest, paid by the vanquished and victor alike, is the systematic devastation of the planetary habitat. This is the destiny that Kaczynski, with cold and relentless clarity, has revealed.

The Epistemological Flaw

Kaczynski’s core thesis is centrally logical, and it is difficult to deny his thought. He is certainly right in that we can speak of systems in terms of analysis. This approach is common in sociology; most authors begin with an object and define the system in terms of that very object. A similar approach is seen with Ted Kaczynski, who identifies an object, i.e., a complex system, and then labels the surrounding network as the system. This approach is not new. French sociologist Hamon shows us by saying a system is an ensemble of parts or subsystems which interact in such a way that components tend to change slowly enough to be treated as constants. These can be called structures. However, Hamon, who is part of the general system theory, does this by identifying a series of feedback mechanisms and formal system properties which are independent of a given system’s success, and by a state of variables and inputs, which are a set of measurable quantities (in this case, population) to describe a system at a given time.[21] He does this by establishing a close historical account of a given set of functions by emphasizing his research on the quantifiable leap, such as feedback loops. In contrast, Ted Kaczynski merely does this by loosely labeling a given period in terms of competition in which the best suited come to dominate over a period. This might seem like a powerful thing, but it quickly shows us its own flaws. While a thinker like Hamon can establish distinct laws, the selfprop theory can only establish itself through a formal apparatus of how this competition will unfold by merely pointing to power of some kind.[22] This is a big problem because nowhere does his theory actually disprove itself; it cannot label anything in terms of why it lost or how it lost. For example, regarding his own example of a kingdom, if said kingdom adapts a means to an end, it is labeled as “advantageous,” but if it doesn’t, it is labeled as disadvantaged. We can label this a logical tautology, which can be formalized as follows:

Let S(x) denote x is a self-propagating system
Let P(x) denote x propagates itself

Then, from Kaczynski’s own self-prop theory, P1 defines a self-propagating system as one that promotes its own survival and propagation.[23]

The principle of natural selection is operative not only in biology, but in any environment in which self-propagating systems are present.

— from Anti-Tech Revolution: Why and How[24]

P1 then states that natural selection favors those systems “having the traits that suit them to survive and propagate themselves.” At first glance, this appears to be a substantive explanatory claim: systems persist because they possess traits that enhance their capacity to persist. However, the theory does not provide an independent account of what these traits are, how they are individuated, or by what criteria they can be identified prior to observing which systems in fact persist. As a result, trait attribution risks becoming retrospective, with “fitnessenhancing” traits being defined solely by reference to successful survival and propagation.

That is, if x is classified as a self-propagating system, then x propagates itself in a given environment; and conversely, if x propagates itself, then x is classified as a self-propagating system. On this reading, the concept of a self-propagating system does not function as an explanatory category that predicts propagation, but rather as a label applied after propagation has been observed.

1 1. ∀𝑥(𝑆𝑥 → 𝑃𝑥)

Definition: SPS propagates

2 2. ∀𝑥(𝑃𝑥 → 𝑆𝑥)

Definition: Propagating implies SPS

1 3. ∀𝑥(𝑆𝑥) S 1
1 4. 𝑆𝑎 IU 3
1 5. 𝑆𝑎 → 𝑃𝑎 IU 1
1 6. 𝑃𝑎 MP 4,5
2 7. 𝑃𝑎 → 𝑆𝑎 IU 2
1,2 8. 𝑆𝑎 ↔ 𝑃𝑎 <->Intro: 4,7
1,2 9. ∀𝑥(𝑆𝑥 ↔ 𝑃𝑥) GU 8

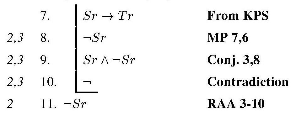
An example of this application’s would be that we can make a logical observation of a company like Microsoft, which has persisted. Then we must classify it through this very label as a self-prop system, and we must then explain its persistence by identifying traits and labeling it as a self-propagating system. But traits are equated to survival and propagation as per P51. This means that natural selection favors systems by traits. We can define these traits as follows:

1 1. ∀𝑥(𝑆𝑥 → 𝑇𝑥)

KPS: SPS have conducive traits

2 2. ∀𝑥(𝑇𝑥 → 𝑃𝑥) Trait efficacy
3 3. ∀𝑥(𝑃𝑥 → 𝑆𝑥) Definitional closure
1 4. ∀𝑥(𝑆𝑥) S 1
1 5. 𝑆𝑎 IU 4
1 6. 𝑆𝑎 → 𝑇𝑎 IU 1
1 7. 𝑇𝑎 MP 5,6
2 8. 𝑇𝑎 → 𝑃𝑎 IU 2
1,2 9. 𝑃𝑎 MP 7,8
3 10. 𝑃𝑎 → 𝑆𝑎 IU 3
1,2,3 11. 𝑆𝑎 ↔ 𝑃𝑎 <->Intro: 5,10
1,2,3 12. 𝑃𝑎 ↔ 𝑇𝑎 Transitivity of <->

What this means in reality is that T(x) is directly inferred from P(x), as “survive and propagate” has the same distinct meanings. So we can conclude that if P(x) is observed to be true in a given situation, then T(x) would also be assumed true: T(x) → P(x), and if likewise P(x) is observed to be false, then we can also logically conclude that the selected trait failed, so T(x) would be false: P(x) → T(x).

Table 2: illurstration of T(x) ↔ P(x)

P(x) SPS(x) T(x)
T T T
F F F

This is further illustrated by observation: if we can conclude that a self-prop system has a certain advantageous trait, such as a strong brand or effective strategy, this would be assumed to be true because the self-prop theory would conclude based upon historical analysis that they did in fact have a successful trait. This means, in reality, however, that a given self-prop system 𝑆(𝑥) and traits 𝑇(𝑥) are merely labels for propagating 𝑃(𝑥) and do not give us a causal independent factor that we can point to. An illustration of this could be: why didn’t the Romans advocate steam power technology? What we observe is that since Rome didn’t in fact develop steam power due to an inflexibility of their economy and various other dependent factors, such as a current flux for new productions. The theory’s inability to provide a causal explanation is exposed by the following deduction:

1 1. ∀𝑥(𝑆𝑥 → (𝑇𝑥 ↔ 𝐴𝑥))

Theory: Traits <->Tech Adoption

2 2. ¬𝐴𝑟

Historical fact: Rome didn’t adopt steam

m-t-mbe-the-unabomber-s-self-propagating-theory-2.jpg

<-> Elim (modus tollens): 5,2

m-t-mbe-the-unabomber-s-self-propagating-theory-3.jpg

According to the theory, we can only state that because 𝐴(𝑟) is false (Rome did not adopt steam technology), then either 𝑆(𝑟) must be false (Rome was not a selfpropagating system for this function) or the traits 𝑇(𝑟) for adopting it must have been absent. But note that the theory does not allow us to independently assess 𝑇(𝑟); we only infer 𝑇(𝑟) from 𝐴(𝑟). This leads to a direct epistemological failure because the theory cannot point to a concrete, independent variable—an input or measurement—to explain why this was the case.

Moreover, if we suppose that a self-propagating system must pass a test of selection over a given period as ted kazynski does himself as he writes that natural selection operates relative to particular periouds of time and gernally outlines a hierarchy i.e 5 years, 30- years and so on,[25] a system that persists from time 𝑡1 to 𝑡2 has passed the test over the interval 𝑡. A system that persists from 𝑡1 to 𝑡3 has passed the test over the interval 2𝑡, and so forth. Those systems that survive to the present are those that have passed the test of selection over every consecutive interval in their history. They have passed through a series of filters, each of which has allowed the passage only of those systems that were most fit to survive over those specific periods.

Crucially, however, these filters are not defined by any independent measure of fitness. They are defined solely by the outcome of propagation itself. The filter does not test for specific traits such as “resistance to disease” or “efficient resource allocation”; it merely tests whether a system remains capable of passing the next filter. The theory thus collapses into a closed loop: a system is “fit” because it propagates, and it propagates because it is “fit.” It can trace the historical path of successful lineages, but it cannot identify the causal mechanisms that determined one path over another.

Moreover, when the notion of the filter itself is brought directly into correlation with propagating systems, it forfeits its own determinacy. We already pointed out that there are no concrete definitions of “self-propagation,” and it can generally mean a twofold view. Does it signify a victory over every tract of time, which we could label as membership in unending intersection 𝑆 or does it genuinely mean to signify victory only with a certain respect to some arbitrarily fixed span? We know that the first of these interpretations is a contradiction in terms, since no system is born of mortality without end; all that arises in time is thus consumed by time, and to demand an infinite duration is to demand what cannot be foresought. The second, meanwhile, degrades the doctrine to the flat observation that “different comportments are suited to different intervals”—a truism so vacuous that it pays immunity from refutation only at the cost of all empirical substance. For if the relevant span may be chosen after the fact, then every extinct system can generally be said to have been self-propagating over the interval of its own existence, and every extant system can be said to be selfpropagating only provisionally, until the moment of its eventual collapse. The criterion, in other words, becomes a matter of retrospective stipulation, not of prospective discernment, since it confers the dignity of a law upon what is merely the historian’s convenience.

Should we choose the first path, we are at once confronted with a self-referential antinomy of Russellian type. Let 𝑆𝑛 ⊂ ∪ be the set of those systems that surmount the sieve of period 𝑠𝑛. A system that would pass through all sieves up to 𝑁 s comprised in their common store. Formally:

m-t-mbe-the-unabomber-s-self-propagating-theory-4.jpg

Extend this to the limitless horizon, and we obtain the canon that a self-propagating system must be contained in [𝑆].

Here the circle declares itself willingly: for inclusion in every 𝑠𝑛 we are there asked to define the part by the whole and the whole by the part, to move in a ring from which there is no regress. This reflexive structure is the very image of Russell’s paradox[26] , wherein the collection

𝑅 ≔ {𝑥 ∈ ∪ ∣ 𝑥 ∉ 𝑆{𝑓(𝑥)}

yields an irresolvable contradiction as soon as we inquire whether 𝑅 belongs to itself.

m-t-mbe-the-unabomber-s-self-propagating-theory-5.jpg

Precisely so, Kaczynski’s “self-propagating system” is a concept that points back to the totality it is meant to circumscribe. It is a predicate that cannot be fixed without presupposing the very extension it is intended to delimit. Therefore, the theory in its essence does not so much define a class of objects as it erects a mirror in which the objects already selected for inclusion gaze back upon their own reflection, and in that hall of mirrors every attempt to grasp the principle of selection merely multiplies the images without revealing the original. The difficulty, once seen, cannot therefore be unseen, since it infects not merely the outermost formulation of what counts as self-propagation but every subordinate application of the theory. For if the filter at each stage is defined solely by the outcome of the systems that pass it, then the theorist possesses no independent concept of fitness; he is like a man who, asked to describe the contour of a shadow, replies only that it is the shape of the object that casts it, and, asked to describe the object, replies only that it is that which casts such a shadow. The two notions support one another, but neither supports the explanation itself. So likewise here we find a tautological error: the system is fit because it passes the filter, and the filter is such that fit systems pass it. Between the two there is a perfect, because empty, correspondence.

This leads to a contradiction. This paradox shows the same circularity at a meta‑theoretical level: the theory attempts to define “self‑propagation” in terms of passing filters that are themselves defined by the outcome of propagation. Just as Russell’s paradox arises from unrestricted set comprehension, the infinite‑filter criterion arises from an unrestricted, self‑referential notion of fitness.[27] Thus, by its circular reasoning—as applied and demonstrated throughout Ted Kaczynski’s own Propositions 1 through 3—we simply cannot generate any new, non-tautological knowledge. The theory can merely observe systems compete and persist, offering only a post-hoc description disguised as explanation.

At this juncture, it is worth considering Chad Haag’s sympathetic reading of Kaczynski’s project. Haag essentially argues that this critique misses the point, because Kaczynski is not engaged in empirical science at all. For Haag, the self-propagation theory operates on an entirely different register: it is a form of rationalist metaphysics, akin to Spinoza’s Ethics or Aristotle’s world of forms, disclosing the essence of technological civilization rather than making testable predictions about it.[28] On this reading, the theory’s substance is indistinguishable from the actual “stuff” of reality—technique cannot be manifolded into something else because it simply is what it is. The charge of tautology, therefore, would be a category mistake, applying standards of empirical verification to a project that operates at the level of necessary truth.

But to what extent can we accept this notion? While Haag rightly points to the close influence Ellul had on Kaczynski, it is important to make a genuine distinction: even if we grant that Kaczynski’s framework is a form of rationalist metaphysics, enormous problems remain. One cannot simply derive necessary truths from first principles without justifying those principles themselves. Kaczynski, it seems, is not honest about his grounding.

Ellul on the other hand seems to present a obscurer presentation of his method in the technological society, its clear he speak about technique[29] as a form of rationality but it must be understood within a dialectical framework, here you can generally get very obscure passages like this one

The first of these obvious characteristics is rationality. In technique, whatever its aspect or the domain in which it is applied, a rational process is present which tends to bring mechanics to bear on all that is spontaneous or irrational.

— from The Technological Society[30]

In his later work, The Technological System, Ellul addresses this very point. He directly counters the potential objection that his analysis, by ‘disregarding the human presence,’ is erroneous. This clarifies that what might seem like an abstract, spontaneous process in his earlier work must be understood as fundamentally intersecting with—and indeed, being redefined by its relationship to humanity.

That, and nothing else, is the verifiable reality of an administration. That is man in relation to what is known as technology; it is he who, in the final analysis, is called upon to act and to choose. Even if there is a certain reality of technology, it is erroneous to claim we can analyze it by disregarding the human presence. And yet, although I am familiar with this objection and acknowledge its full accuracy, such an analysis is precisely what I have attempted here. And my reasons are twofold.

— from The Technological System[31]

He then gives his two reasons: first, the need for an abstract model analogous to those used in the natural sciences, where one temporarily sets aside variables to discern underlying structures; and second, the necessity of establishing what he calls the “canvas” before one can understand the “painting” of human experience:

In other words, by studying the technological system, I appear to be disregarding man. But in fact, I am showing the canvas on which action, refusal, angst, approval, perception, etc., take place. And without knowing that canvas, I could not understand those experiences and perceptions.

Thus, I propose to furnish not so much the reality as a certain given that is indispensable for knowing this reality. To be sure, these matters have no objective reality independent of man’s experience; but what man experiences does not boil down to his subjectivity. We have to bear in mind the rules imposed upon him, the obstacles he comes up against, etc. It is only if I know the wording of the law that I can understand a specific interpretation, a specific behavior of obeying or flouting. Thus, in describing the system, I do not exclude the initiatives and choices of individuals, but only the possibility that everything boils down to them. I do not offer ‘what takes place,’ ‘what is,’ but what man modifies, accelerates, disturbs, etc.

— from The Technological System[32]

This passage is very important because we can, for one equation, note that Ellul explicitly contextualizes his approach as a dialectical one, always holding the abstract model and the concrete human experience in tension. The technological system, for Ellul, is not a thing-in- itself that exists independently of human perception and action; it is a “canvas” that structures experience without determining it entirely. One cannot simply decontextualize Ellul’s observations because—as he says—the technological system would make no sense without the human experiences and perceptions that constitute its medium. The system and the human response to it are co-constitutive; to study one in isolation from the other is therefore a methodological abstraction.

Thus, as a result, Kaczynski seems to make several crucial errors in his appropriation of Ellul. First, he mistakes Ellul’s dialectical reasoning for straightforward empirical generalization. Where Ellul offers nuanced observations about tendencies and patterns, always qualified by attention to human agency and historical contingency, Kaczynski extracts these observations and formalizes them into universal axioms: “Proposition 1: Self-propagating systems tend to promote their own survival.” What was, for Ellul, a way of seeing—a heuristic for interpreting the world—becomes, for Kaczynski, a set of laws that the world must obey. The dialectical tension between system and human experience collapses; the “canvas” becomes the whole picture.

The problem, then, is not merely that Kaczynski decontextualizes Ellul, but that an essence that can only be identified retrospectively, that has no method for its recognition, and that is simply “whatever Kaczynski” takes to be most important ultimately becomes a placeholder rather than a genuine discovery about the world.

Having failed to establish its epistemological foundations, and having been shown to be incoherent on its own chosen philosophical terms, the theory is then used to arrive at various a posteriori conclusions, such as an application to the Fermi Paradox.[33] The paradox outlines the following: given the high probability of numerous planets harboring technologically advanced civilizations, we should have detected evidence of them by now.[34] Kaczynski uses the self-propagation theory to suggest that such civilizations may inevitably self-destruct. But this application only compounds the original error. A theory that cannot identify its object independently of outcomes, that has no method for recognizing essences, and that performs the very thinking it condemns, cannot support such ambitious conclusions. We can very easily show this with a simple three-fold thought experiment, as demonstrated below.

but for such observation to be truth it would need to establish a synthetic a priori truth that adds new, non-tautological knowledge to the topic. Instead, all it can do is show us that a certain system is successful merely because it is successful. It is then used to arrive at various a posteriori conclusions, like an application to the Fermi Paradox[35] which outlines the following: given the high probability of numerous planets harboring technologically advanced civilizations, we should have detected evidence of them by now.[36] Ted Kaczynski uses the self-prop theory to suggest that such civilizations may inevitably selfdestruct. However, without new synthetic knowledge, any application built upon a tautology will merely be a onesided argument, retrofitting a narrative to any conceivable observation. This filter method, devoid of independent variables, becomes a chameleonic justification for the status quo, whatever it may be. We can envision a series of such scenarios where the theory is malleable enough to explain diametrically opposed states of the world.

  1. We observe no extraterrestrial civilizations. The theory explains this by asserting they all failed the ultimate test of selection, having developed a selfdestructive technology.

  2. We discover a thriving, ancient civilization. The theory could then explain this by asserting it passed a more stringent test of selection, having developed internal mechanisms—perhaps a global authoritarian state—to suppress the short-term competitive dynamics that would have led to collapse.

  3. We find archaeological evidence of a civilization that self-destructed.

In each of these thought experiments, we ultimately observe a state of the world that the theory can rationalize merely because it is the observed state. The “fitness” of a system is defined post-hoc by its survival, and its survival is then cited as proof of its fitness. Practical recommendations derived from such a framework are therefore built on sand since they are highly revisionist and unsupported by rigorous, falsifiable argumentation.

The Epistemological Flaw, Part II: On Paradox, Adaptation, and the Limits of Competition

The preceding analysis has demonstrated that Kaczynski’s framework, for all its rigor, cannot successfully escape the circle it draws around itself. The filter proves to be no filter at all, since it is likewise defined solely by what passes through it; the traits that confer fitness prove to be nothing but the naming of whatever definable maladaptive outcome occurred, and the infinite intersection that was to capture the essence of selfpropagation dissolves into paradox when we attempt to give it determinate content. As we have demonstrated, and so to see what is missing, we could turn to those who have actually grappled seriously with the problem of understanding complex social systems without falling into the same trap Ted Kaczynski does. We have only hereto done this with Hermon, but Rittel and Webber, in their influential analysis of planning problems, attempt to look at the question of complex systems through a lens whereby they identify a class of difficulties they term “wicked problems,” those pervasive, continuing dilemmas that arise from the entanglement of incompatible yet interdependent activities[37]. Their contribution is not just to note such problems exist, but to specify their structure. As such, a wicked problem, on their account, possesses determinate features: there is no definitive formulation of the problem because every formulation already implies a particular solution; there is no stopping rule, because one cannot know when the problem is solved, only when one has run out of resources or patience. Therefore, we cannot pinpoint whether solutions are true or false, but only better or worse, and judgments of such better and worse may very well vary across stakeholders, since every wicked problem is essentially unique, yet also possesses symptoms of other problems; and perhaps most crucially, the planner has no right to be wrong. Unlike the scientist, whose hypothesis may very well be disproven, the planner’s mistakes have consequences for those affected.[38]

This specification of structural properties—features identifiable before outcomes are known—is precisely what a genuine theoretical grasp of social phenomena requires. Jacques Ellul, in his analysis of the technological system, makes this methodological demand explicit. A valid object of study, Ellul argues, must possess features that can be identified independently of any particular outcome: autonomy, unity, universality, and the capacity for self-augmentation through internal relations rather than external imposition.[39] The system he describes is not a heuristic model imposed on reality, but a “homogeneous whole” that exists—even if obscured by epiphenomena and accidents. Crucially, Ellul insists such a system is “necessarily open,” including “not only a large margin of chance but also a large portion of probability.” [p. 69] This distinguishes genuine systemic analysis from the closed, deterministic frameworks that merely narrate what has already occurred. For Ellul, as for Rittel and Webber, the test of a concept is whether it picks out features of the situation itself, not merely features of its resolution.

So therefore, what really distinguishes Rittel and Webber’s approach is that these properties are identified independently of any particular outcome. As such, one can determine whether a problem lacks a definitive formulation, whether it has no stopping rule, or whether its solutions admit only subjective evaluation, all without knowing which policies will ultimately be adopted or which will succeed on its behalf. As such, the framework can be applied before the fact—criteria that do not collapse into mere observation of mistakes, as Kaczynski makes. This is what it means to have a genuine theoretical grasp on social phenomena: one possesses concepts that pick out features of the situation itself, not merely features of its resolution. It is as though a biologist proposed to explain evolution by saying that organisms which survive are those which are fittest, and when asked what fitness means, replied only that it is whatever enables organisms to survive. Such a “theory” would not be false; it would be vacuous. And vacuity is not redeemed by repetition, however vivid or forceful.

Calvin Pava, another important thinker, employs an analysis of normative systems which points toward what is missing. Essentially, Pava describes the necessary dynamics of social life as “continued interplay” rather than terminal resolution[40]. This captures the very essence that Kaczynski’s theory of self-propagating systems lacks, since it ignores the possibility that systems may persist not by defeating their rivals but by adjusting to them; not by maximizing immediate advantage but by sustaining relationships over time; not by expanding without limits but by finding a rather stable niche within a larger ecology. As such, “continued interplay” implies feedback and mutual modification, with the slow accretion of small changes.

What Pava identifies as “continued interplay”[41] finds its most rigorous theoretical elaboration in Ellul’s concept of self-augmentation. For Ellul, a system grows not primarily through defeating external rivals, but through an “internal, intrinsic force” by which it “feeds on everything that people can want, try, or dream.”[42] This is not mysticism but a precise claim about causal structure: in a genuine system, elements relate preferentially to one another before relating to outside factors, creating a dynamic in which “any evolution of one triggers a revolution of the whole, and any modification of the whole has repercussions on each element.”[43] The system persists not by maximizing immediate advantage in discrete contests, but through what Ellul calls “totalization”— the process by which specialization and fragmentation generate a new coherence, as “the indefinite growth of the applications of technologies... would bring a dispersal, a wild incoherence if, at the same time, the process of development did not involve a sort of concatenation of all the fragmentary technologies.”[44] This is the structural account of what Pava describes on the level of social dynamics: systems maintain themselves through internal reorganization, not terminal victory.[45]

Here Neuman’s analysis of mass politics seems to reinforce this point from yet a different angle, as Neuman demonstrates that complex sociopolitical realities are frequently reduced to polarized schemata when their inherent ambiguities are improperly abstracted[46]. However, this reduction is not merely innocent; it is very much a distortion—forcing the multifaceted into the binary, the continuous into the discrete. Here Kaczynski’s theory again falls flat, as his stark opposition of survival and extinction, of fit and unfit, exemplifies precisely such a reduction, since it takes the rich ambiguity of social existence—the compromises and partial victories, or the transformations that are neither triumph nor defeat—and compresses it into a single linear dimension.

Likewise, Kaczynski offers nothing comparable. His “filters,” as we have previously defined, have no properties that can be specified apart from the systems that pass through them. As such, his “traits” have no content except what is read back from the outcomes they supposedly explain. However, some of Veblen’s earlier research takes these concerns into account, as Veblen identifies social paradoxes as emerging from the ambiguous nature of sign behavior and the ingrained habits that constitute social life.[47]

Ellul’s methodological defense of this kind of analysis is worth making explicit. To study a system as such— to identify its autonomy, its unity, its tendency toward totalization—requires what he calls “the attitude of the scientist who assumes ‘all things being equal,’ whereas we know very well that such a situation will never exist.”[48] This abstraction is not a denial of human action or contingency; it is the necessary precondition for understanding them. As Ellul puts it, by studying the technological system “I am showing the canvas on which action, refusal, angst, approval, perception, etc., take place. And without knowing that canvas, I could not understand those experiences and perceptions.” [p. 77] This is precisely what Veblen’s analysis of habits and sign behavior provides: a canvas of institutional structures that shape perception and meaning-making, without which the paradoxes of social life would be merely anomalous rather than intelligible. The framework does not predict outcomes; it identities the structural properties that make outcomes intelligible.

These paradoxes are not mere anomalies to be explained away, but features of the landscape, endemic to social organization as such. They arise from the gap between appearance and reality, between what is said and what is done, between explicit norms and implicit understandings that together structure human interaction. To grasp them requires a more sophisticated attention to meaning and interpretation that the selfpropagating theory completely lacks. Consequently, it cannot explain why societies do not simply collapse when faced with the fundamental paradoxes that Veblen and others have documented. If competition were all, if survival were everything, then the complete existence of irresolvable tensions and contradictions that cannot be eliminated would prove fatal. Yet we see societies persist despite them, and indeed perhaps because of them, since paradox can be a source of flexibility as well as strain. A theory blind to this can only register the facts while not accounting for their possibility.

What emerges as a result is a clear contrast between two modes of theorizing. One mode, exemplified by Rittel and Webber, by Pava, by Neuman, by Veblen, seeks to identify features of social life that can be specified independently of outcomes—structural properties, mechanisms, processes, meanings. The other mode, exemplified by Kaczynski, defines its concepts only by reference to the outcomes they are meant to explain. The first mode yields frameworks that can be tested, refined, and applied prospectively; the second yields only a vocabulary for narrating what has already occurred. The first opens questions for investigation; the second closes them with the appearance of explanation.

Ellul’s insistence on the openness and indeterminacy of genuine systems provides a final measure of what Kaczynski’s framework lacks. “The technological system is not completed,” Ellul writes. “It is not closed... it includes not only a large margin of chance but also a large portion of probability.”[49] A theory that cannot accommodate chance, probability, or the openness of its object has not described that object; it has described a fantasy of control disguised as analysis. Kaczynski’s self-propagating system, with its filters that filter nothing and its traits that name whatever outcome occurred, is closed in precisely this sense—it admits no surprise, no genuine novelty, no possibility that a system might persist through means other than victory. The theory’s closure mirrors the cognitive closure it attributes to the world.

Thus we are left with what Pava identified as the “illusion of ‘us against the world.’” This is a cognitive distortion, a narrowing of vision that excludes the possibility of cooperative engagement, of mutual adjustment, of the continued interplay through which social paradoxes are managed, if not solved. It is the illusion that every encounter is a fight to the death, that every difference is a threat, that every other is either victor or vanquished. And it is precisely this illusion that Kaczynski’s theory, in its relentless focus on competition, elevates to the status of universal law. The theory does not describe the world; it describes a particular way of seeing the world —one that has forgotten its own partiality and mistaken itself for the whole.

Why doesn’t Kaczynski account for these problems in his assessment of his self-propagating theory? One logical explanation could be that he believes his theory is still useful. We can see proof of this in his outline, where he seems aware of its theological implications as he calls this an obvious tautology.[50]

However, when one reads Anti-Tech Revolution: Why and How, one gets the sense that Kaczynski sees technological means to ends—which arise in an ethical vacuum—as more important than the ethical questions themselves. His self-propagation theory is a way to introduce a naturalistic approach by establishing a universal principle, which in reality is ad hoc in nature.

In contrast, Ted Kaczynski seems more invested in a personal philosophy that shares some traits with Stoicism, but with a critical divergence. There are definitely some ways Ted can be seen to be a stoic in the way that he pursues tranquillity to the exclusion of anything else. The bizarreness though is that the stoics see this tranquillity being enabled by a kind of retreating into oneself to be able to contemplate hard questions when you’re faced with them. Not being swayed by one’s environment. Whereas Ted’s ideal was almost to blend his state of mind with the wild habitat to the extent that there would be no inner monologue needed. For the Stoics, the retreat inward was a precondition for clear judgment about the external world. The sage cultivates apatheia not to escape reality but to perceive it without distortion, distinguishing what is within one’s power from what is not, and acting accordingly in the domain where action is possible.[51] Kaczynski inverts this relationship. The wild habitat is not an object of judgment but a medium of absorption —a space where judgment itself becomes unnecessary because the self has dissolved into its surroundings. This is not Stoic tranquility but its opposite: a form of radical passivity that demands violent compensation. If one cannot achieve the desired fusion with nature, then nature itself must be defended against its despoilers. The violence is not a means to an end but a way of restoring the possibility of the inner state the system has made inaccessible. As he writes, striking back allows him to “better enjoy nature partly ruined by the invasion of the system, because the invasion of the system no longer chokes me with frustrated anger.”[52]. The revenge does not restore the wild; it restores his capacity to experience what remains of it as if it were wild.[53] Industrial society, he argued, racks up a great many more crimes which it would be desirable to answer with violence than if we were living in a hunter-gather society, yet the system prevents us from responding, leading to intense frustration.[54] He wrote: ‘Wild country, freedom, and isolation from the system best. And if the system deprives me of these then I must strike back revengefully. But if I can strike back, then I can better enjoy nature partly ruined by the invasion of the system, because the invasion of the system no longer chokes me with frustrated anger, provided I can get some revenge.’[55] This frustration and desire for revenge, combined with his ideal of primitive freedom, led him to conclude that violence was a necessary response on both a personal and macro scale.

For Ted Kaczynski, the ethical questions are reduced to this deeply personal view in which freedom cannot be compromised. Since technological society touches every area of life, this is critically important. He relies on standards derived from empirical observations—via the self-propagation theory to reach his conclusions, yet he never produces a foundational argument to support these notions; they are simply assumed. This absence of foundational argument is not accidental but structural to his project. As Ellul demonstrates, technology operates in an ethical vacuum—it “does not endure any moral judgment” and “has become a judge of morality” only insofar as moral propositions must now justify themselves to the technological system, not the reverse.[56] Kaczynski’s framework replicates this vacuum while pretending to fill it. By reducing all questions to survival and extinction, to fitness and unfitness, he offers the appearance of ethical judgment without its substance. The “freedom” he defends has no positive content—it is defined only as the absence of technological constraint, not as any particular way of being in relation to others, any set of practices, any form of life worth living. This is why his ethics can ground violence without remainder: if freedom is merely the absence of constraint, then destroying constraints is the whole of its realization.

To successfully understand Anti-Tech Revolution: Why and How, it would have been useful for the reader to know the a priori reasoning behind these conclusions. Nonetheless, we can only guess. In this case, it seems Ted valued freedom as the ultimate expression of naturalness. This valorization of freedom as the “ultimate expression of naturalness” reveals the foundational a priori that his self-propagation theory is designed to serve. The theory does not discover that technological society is maladaptive; it provides a vocabulary for asserting this conclusion while appearing to derive it from neutral principles. This might make sense, as from a very early age he became obsessed with the hunter-gatherer lifestyle and wanted to live as they did. Sadly, he is never explicit about the theoretical foundation for all of this. But nonetheless Kaczynski’s own writings reveal a lifelong, personal obsession with the hunter-gatherer lifestyle, which he saw as the embodiment of autonomy. He describes how, even during his academic years, his primary focus was on immersing himself in the world of primitive societies:

I always put my outdoor activities first… I did a great deal of reading of first-hand accounts of Indiana Forest Indians… The accounts I read of men who lived with the Indians… seem to indicate that many eastern forest groups had a very free and individualistic kind of life… Small groups of hunters might wander off into the forest for long periods, obeying only their own sweet will.

— from 1979 autobiography Page 108[57]

This early fixation on a life of radical freedom, governed only by one’s “own sweet will,” provided the foundational ideal for his later work. He later formalized this personal yearning into a theoretical concept while writing his manifesto during his time in Lincoln, Montana.[58]

I argue that the most important single maladaptation involved derives from the fact that our present circumstances deprive us of the opportunity to experience the power process properly. In other words, we lack freedom as the term is defined in ISAIF, §94.[59]

— Letter to David Skrbina[60]

However, his idealization was not without its own internal contradictions. As early as 1979, he had written in his journal:

In any case, even the most primitive society carries in it the seeds of what I consider evil, since all societies have the potential for eventual “progress” toward civilization. Thus I am more inclined to wish that the human race would become extinct. Now, considering hunting and gathering as an economic form — this I do idealize. By this I mean that I would rather make my living by hunting, gathering plant foods, and making my own clothing, implements, etc., than in any other way I can think of. Here I do have some personal experience to go on.

— 1979 journal entry[61]

Thus, what begins as a romanticized personal ideal becomes the unargued cornerstone of his anti-technology philosophy. The “self-propagation theory” and his conclusions serve to rationalize this deeply held value, which was rooted less in formal logic than in his early obsession with a primitive way of life and a subsequent, profound nihilism.

Conclusion

I have in this paper sought to give a concrete examination of Kaczynski’s self-propagating theory from a logical and epistemological standpoint, as best articulated in Anti-Tech Revolution: Why and How. My central argument is that, despite its appearance of rigorous deduction, the framework, however, suffers from a fundamental and irreparable flaw. This stems from its reliance on a tautological core that retrospectively labels successful systems without providing causal mechanisms or independent criteria for identifying the traits that supposedly confer fitness.

The paper sought to demonstrate, through a formal lens, that a few key notions—“self-propagation,” “advantageous traits,” and the “filters” of natural selection—are defined circularly, such that a system is ultimately deemed fit because it propagates, and it propagates because it is fit. This circularity, as the Russell-style paradox of infinite filters shows, operates not only at the empirical level but at the meta-theoretical level as well, which renders the theory incapable of ultimately generating any new non- tautological knowledge that would otherwise constitute a whole theory.

We have done this by trying the following: viewing it through a rationalist metaphysics as a disclosure of the essence of technological civilization, as Chad Haag’s reading sympathizes. However, on such a reading, this misapplies standards appropriate to science to a project operating at the level of necessary truth, yet this fails on multiple grounds.

(A) It provides no epistemological method by which this essence might be identified. Where Aristotle could appeal to intuition of forms, Kaczynski, on the contrary, offers nothing comparable. His essence is ultimately whatever he deems most important, and what he deems important, as his early journals reveal, is determined by a deeper commitment that is beyond the scope of this analysis.

(B) Kaczynski seems to misappropriate Ellul’s dialectical method into a generalized view that decontextualizes his method from the whole with which it interlinks. This is further shown in the section on Veblen and Pava, which determines a set of wicked problems: one can determine whether a problem has a definitive formulation, whether it admits a stopping rule, or whether it involves symbolic paradoxes, all without knowing which policies will succeed. These frameworks can be applied prospectively, tested against evidence, and refined through engagement with the phenomena they seek to explain—something that Kaczynski generally seems to deem unimportant, but which Ellul’s later work deems crucial for understanding the technological system.

For those who find Kaczynski’s diagnosis of technological society compelling, the implication is not that his conclusions should be dismissed, but that they must be grounded in something more substantial than the self-propagation theory. This would require either (a) establishing a robust ethical foundation for the valorization of pre-technological freedom—a task that would demand serious engagement with moral philosophy rather than the assumption of first principles—or (b) developing genuinely predictive sociological models that can identify causal mechanisms and independent variables, subjecting them to empirical testing and refinement. Until such work is undertaken, Kaczynski’s theory remains what this analysis has shown it to be: a provocative but unsubstantiated hypothesis, a tautology dressed in the language of science, and a mirror in which the theorist’s own commitments gaze back at themselves, mistaking their reflection for the world.

Acknowledgments

I wish to extend my profound gratitude to Theo Slade, whose insightful contributions were instrumental to the development of this work, and Jolly Swagman for providing insightful sources.

References

Authors, Various. “Debate in the Earth First! Journal About Ted Kaczynski.” The Ted K Archive. https://www.thetedkarchive.com/library/debate-in-the-earthfirst-journal-about-ted-kaczynski.

Brogle, Courtney. “Who Was Philosopher Jacques Ellul and How Did His Writing Influence ‘Unabomber’ Ted Kaczynski?.” Oxygen, February 28, 2020. https://www.oxygen.com/unabomber-ted-kaczynski-influencephilosopher-jacques-ellul.

Dyer, Alan W. “The Habit of Work: A Theoretical Exploration.” Journal of Economic Issues 18, no. 2 (1984).

Ellul, Jacques. The Technological Society. Translated by John Wilkinson. New York: Vintage Books, 1964.¶ ¶ Ellul, Jacques. The Technological System. Translated by Joachim Neugroschel. New York: Continuum, 1980.¶ ¶ Epictetus. The Enchiridion. Translated by Thomas W. Higginson. The Library of Liberal Arts. New York: The Liberal Arts Press, 1948.¶ ¶ Haag, Chad A. The Philosophy of Ted Kaczynski: Why the Unabomber Was Right About Modern Technology. Uchakkada, India: Self-published, 2019. http://www.thetedkarchive.com/library/chad-a-haag-the-philosophy-of-ted-kaczynski.

Hamon, Philippe. Introduction À La Théorie Des Systèmes. Collection SUP, no. 22. Paris: Presses Universitaires de France, 1974.

Irvine, Andrew D., and Harry Deutsch. “Russell’s Paradox.” 7 AD.

Kaczynski, Ted, Theodore John Kaczynski, and The Unabomber. Industrial Society & Its Future. United States: Wingspan Classics, 2008.

Kaczynski, Theodore. “Kaczynski and His Lawyers.” 1998. https://www.thetedkarchive.com/library/tedkaczynski-kaczynski-and-his-lawyers.

Kaczynski, Theodore. “Ted Kaczynski’s Journal in 1980–81.” 1980. https://www.thetedkarchive.com/library/tedkaczynski-s-journal-in-1980-81.

Kaczynski, Theodore. “Ted Kaczynski: An Early Attempt to Argue for Hunter-Gatherer Societies or Human Extermination.” 1979. https://www.thetedkarchive.com/library/ted-kaczynski-an-early-attempt-toargue-for-hunter-gatherer-societies-or-human-extermination.

Kaczynski, Theodore. “Unabomber in His Own Words (Originally Titled: The Lost Kaczynski Tapes).” 2020. https://www.thetedkarchive.com/library/oc1unabomber-in-his-own-words-originally-titled-thelost-kaczynski-tapes-2020.

Kaczynski, Theodore. “Why Did You Do It?.” 2005. https://www.thetedkarchive.com/library/ted-kaczynski-whydid-you-do-it.

Kaczynski, Theodore J. Anti-Tech Revolution: Why and How. Fitch & Madison, 2016.

Kaczynski, Theodore J. “Autobiography,” 1979.¶ ¶ Kaczynski, Theodore J. “Why the Technological System Will Destroy Itself,” 21 AD.

Kaczynski, Theodore J., and David Skrbina. “Correspondence between Ted Kaczynski and David Skrbina.” 2004. https://www.thetedkarchive.com/library/ted-kaczynski-s-letter-correspondence-with-david-skrbina.

Neuman, W. Russell. The Paradox of Mass Politics: Knowledge and Opinion in the American Electorate. Harvard University Press, 1986.

Pava, Calvin. “Toward a Concept of Normative Incrementalism.” 1981.

Richardson, John H. “Children of Ted: Two Decades After His Last Deadly Act of Ecoterrorism, The Unabomber Has Become an Unlikely Prophet to a New Generation of Acolytes.” New York Magazine, December 11, 2018.

Ritchey, Tom. “Wicked Problems: Modelling Social Messes with Morphological Analysis.” Acta Morphologica Generalis 2, no. 1 (2013): 1–8. https://www.researchgate.net/publication/236885171_Wicked_Problems_Modelling_Social_Messes_with_Morphological_Analysis.

Rittel, Horst WJ, and Melvin M Webber. “Dilemmas in a General Theory of Planning.” Policy Sciences 4, no. 2 (1973): 155–69.

Shishkina, T. M. “Economic Analysis of Conspicuous Waste: Historical Overview and Modern Approaches.” Voprosy Ekonomiki, no. 4 (2023). https://doi.org/10.32609/0042-8736-2023-4-119-134.

Skrbina, David. “A Revolutionary for Our Time.” 2010. https://www.thetedkarchive.com/library/david-skrbina-a-revolutionary-for-our-times.

Skrbina, David. The Metaphysics of Technology. Routledge, 2015.

Slade, Theo. “Frequently Asked Questions About Ted Kaczynski.” 2023. https://www.thetedkarchive.com/library/frequently-asked-questions-about-ted-kaczynski#toc10.

Ultimo. “Critique of Anti-Tech Revolution: Why and How,” 2016.

Veblen, Thorstein. The Theory of the Leisure Class: An Economic Study of Institutions. New York: Macmillan, 1899.

Zerzan, John. Elements of Refusal. Columbia, MO: C.A.L. Press, 1999.

Zerzan, John. Future Primitive and Other Essays. Brooklyn, NY: Autonomedia, 1994.

Ćirković, Milan M. “The Great Silence: Eternal Persistence or the Triumph of Noise?.” Journal of the British Interplanetary Society 58 (2005): 43–50.

“Excerpts from Letter by ‘Terrorist Group’, FC, Which Says It Sent Bombs.” The New York Times, April 26, 1995.

“Manhunt: Unabomber,” 2017.

“Ted K.” 2021.


[1] Theodore Kaczynski, “Unabomber in His Own Words (Originally Titled: The Lost Kaczynski Tapes),” 2020, https://www.thetedkarchive.com/library/oc1-unabomber-in-his-own-wordsoriginally-titled-the-lost-kaczynski-tapes-2020.

[2] Theo Slade. “Frequently Asked Questions About Ted Kaczynski,” 2023, https://www.thetedkarchive.com/library/frequently-asked-questions-aboutted-kaczynski#toc10.

[3] John H. Richardson, “Children of Ted: Two Decades After His Last Deadly Act of Ecoterrorism, The Unabomber Has Become an Unlikely Prophet to a New Generation of Acolytes,” New York Magazine, December 11, 2018.

[4] For the curious reader: Ted Kaczynski, writing as Freedom Club, sent his manifesto to other publications. One of these was Earth First! Journal, to which he offered publication rights if no major periodical did so within five months, promising to desist from terrorism in exchange for national distribution and publicity. The manifesto was never published by the journal. In 1999, the editorial collective considered publishing an interview with Kaczynski but reached “a consensus that the journal ought not publish it”; principal editor Theresa Kintz subsequently left the staff and published the interview in Green Anarchist instead. The journal listed Kaczynski as a political prisoner in 2000 but removed him that November after reader debate, with an editor’s note stating: “Ted Kaczynski will no longer be listed on the Journal’s prisoner support page.{1}

[5] “Excerpts from Letter by ‘Terrorist Group’, FC, Which Says It Sent Bombs,” The New York Times, April 26, 1995.

[6] Theodore J. Kaczynski, Anti-Tech Revolution: Why and How (Kalskag, AK: Fitch & Madison, 2016).

[7] “Manhunt: Unabomber,” 2017.

[8] “Ted K,” 2021.

[9] Various Authors, “A Text Dump on Jacob Graham,” March 23, 2024.

[10] David Skrbina, The Metaphysics of Technology (London: Routledge, 2015); David Skrbina, “A Revolutionary for Our Time,” 2010, https://thetedkarchive.com/library/david-skrbina-a-revolutionary-for-ourtimes.

[11] I am aware that Kaczynski exchanged serious discussion with other academic figures—notably John Zerzan (from whom Kaczynski later distanced himself after various disagreements about praxis and the “object factor”){2}, Kirkpatrick Sale (who also exchanged letters with Kaczynski), and various other academics whose letters are held in the University of Michigan’s Kaczynski Papers (Collection 18446). I focus on Skrbina and Ultimo because: (a) Skrbina assisted with research and publication logistics for Anti-Tech Revolution: Why and How, making his engagement directly relevant to the book under examination; (b) Ultimo’s published critique is the most extensive engagement with Kaczynski’s later theoretical work from within the anti-tech milieu.

[12] For the interested reader, I refer here to Ultimo Reducto, who wrote “A Critique of Ted Kaczynski’s Anti-Tech Revolution.” The critique is available in Spanish at ultimoreductosalvaje.blogspot.com/2018/10/critica-anti-techrevolution-deted_20.html. It closely engages with Kaczynski’s text and raises multiple distinct objections. However, I believe it is best characterised as an intramural refinement rather than a foundational critique. Ultimo explicitly affirms Kaczynski’s core axioms—namely, the self‑propagation principle, the inevitability of collapse, and the necessity of revolution. Consequently, most of his objections refer to matters of strategy, presentation, and terminology: vague definitions, impractical strategic details, and insufficient emphasis on wild nature as the fundamental value. Moreover, at no point does Ultimo challenge the logical structure or the epistemological status of the work itself. Indeed, his approach is consistently one of steel‑manning: in §14, he worries that the concept of “group selection” is a polemical idea that may affect readers’ reception, but he does not question its validity; in §62{3}, he disputes Kaczynski’s application of the theory to Tikopia, yet his alternative explanation remains a conventional materialist account (population pressure, emigration, war) that leaves the theory’s core logic untouched.

[13] Ultimo, “Critique of Anti-Tech Revolution: Why and How,” 2016.

[14] Courtney Brogle, “Who Was Philosopher Jacques Ellul and How Did His Writing Influence ‘Unabomber’ Ted Kaczynski?,” Oxygen, February 28, 2020, https://www.oxygen.com/unabomber-tedkaczynski-influence-philosopher-jacques-ellul.

[15] Theodore J. Kaczynski, “Why the Technological System Will Destroy Itself,” 21 AD.

[16] Kaczynski, Anti-Tech Revolution: Why and How.

[17] ibid., p. 43.

[18] ibid., p. 42–46.

[19] ibid., p. 47.

[20] ibid., p. 55.

[21] Philippe Hamon, Introduction À La Théorie Des Systèmes, Collection SUP, no. 22 (Presses Universitaires de France, 1974).

[22] I am well aware that some people, despite these objections, might see the portrayal of this process in a general apparatus and abstract terms as still useful as demonstrating that what is happening is by no means accidental or a flaw of human beings. For example, Kaczynski writes the following: “Given the nature of selfpropagating systems in general, the destructive process that we see today is made inevitable by a combination of two factors: the colossal power of modern technology and the availability of rapid transportation and communication between any two parts of the world“.” However, despite his specification of concrete factors that function as scope conditions, the theory still falls flat: he only describes the arena of conditions that competition must enter. The tautology thus operates at the level of selection explanation, even if the environment in which selection occurs is specified.

[23] P1 defines a self‑propagating system as one that “tends to promote its own survival and propagation.” This definition already embeds the very outcome—survival—that his subsequent arguments purport to explain, and this circularity runs through the entire line of argumentation in Anti‑Tech Revolution. Throughout the book, survival is treated as proof of fitness and fitness is invoked to explain survival, with no independent criterion for either. This circularity is structural, not incidental: Kaczynski himself concedes that even if his factual claims were false, “the basic structure of the book will remain sound”—a structure that is insulated from empirical disconfirmation precisely because it is tautological. The forest‑kingdom example is characteristic: kingdoms that deforest recklessly are said to gain an advantage because they survive, and their survival is then cited as evidence that recklessness confers an advantage. The same logic governs his treatments of the Green Revolution, Prohibition, and the Atoms for Peace program—failure is attributed to the system’s inability to control its own development, but that inability is inferred from the failure itself.

[24] Kaczynski, Anti-Tech Revolution: Why and How, p. 43.

[25] Ibid., P. 43.

[26] See Irvine and Deutsch 2020, §2.5. In Frege’s system{4}, any concept was held to determine a corresponding extension—the collection of objects falling under it. But consider the concept: extension of a concept that does not fall under its own concept. Does the extension of this concept fall under itself? To ask is to contradict: if it does, it does not; if it does not, it does. Here, the infinite intersection 𝑆 plays the same role: it is the collection of systems that pass every sieve. Yet to ask whether a system defined by its relation to this very collection belongs to it forces the same circle. The totality that was to settle all memberships becomes, once turned back on itself, the source of its own undoing. In both cases, the attempt to capture a completed whole within its own defining condition yields not a set but a paradox.

[27] “For a short formulation of Russell’s paradox, see “What Is Russell’s Paradox?” Scientific American, 1998. The parallel here is that just as Russell showed that “the set of all sets that are not members of themselves” leads to contradiction, Kaczynski’s attempt to define self-propagation in terms of filters that are themselves defined by propagation leads to an infinite regress that cannot be grounded.

[28] Haag, The Philosophy of Ted Kaczynski: Why the Unabomber Was Right About Modern Technology, p. 114.

[29] For Ellul’s distinction between technique (the phenomenon itself) and technologic (the discourse on technique), see Jacques Ellul, The Technological System,37 As the translator notes, English usage conflates these terms, rendering both as “technology”—a conflation that obscures Ellul’s methodological self-awareness.

[30] Jacques Ellul, The Technological System, trans. Joachim Neugroschel (New York: Continuum, 1980), P. 22 — 23.

[31] Jacques Ellul, The Technological Society, trans. John Wilkinson (New York: Vintage Books, 1964), P. 78

[32] Ellul, The Technological System. P. 76.

[33] ibid.. P. 77.

[34] If our reasoning is correct, then any civilization that reaches our level of technological development is likely to destroy itself, or at least to destroy its technological capacity, before it can establish a presence in space that would be detectable by us.

[35] Kaczynski, Anti-Tech Revolution: Why and How, p. 55.

[36] Milan M. Ćirković, “The Great Silence: Eternal Persistence or the Triumph of Noise?,” Journal of the British Interplanetary Society 58 (2005): 43–50.

[37] Horst WJ Rittel and Melvin M Webber, “Dilemmas in a General Theory of Planning,” Policy Sciences 4, no. 2 (1973): 155–69.

[38] For the interested reader, and for a more detailed exposition of the characteristics of wicked problems, see Tom Ritchey, “Wicked Problems: Modelling Social Messes with Morphological Analysis.” As Ritchey notes, “The information needed to understand the problem depends upon one’s idea for solving it. This is to say: in order to describe a wicked problem in sufficient detail, one has to develop an exhaustive inventory of all the conceivable solutions ahead of time.{5}

[39] Ellul, The Technological System, p. 68.

[40] Calvin Pava, “Toward a Concept of Normative Incrementalism” (Doctoral dissertation, 1981).

[41] For the interested reader, here Pava’s concept draws on earlier work in organizational theory and normative systems analysis. His point draws attention to the fact that social systems often persist not by resolving conflicts but by developing mechanisms for managing them indefinitely. As he argues, “the critical question is not whether normative conflicts can be eliminated—they cannot—but whether a system develops the capacity for sustained engagement with its own contradictions”{6}. This directly suggests that a zero-sum view cannot account for an underlying notion of a positive treatment, as Kaczynski so much tries to justify; what Ellul later systematizes is the possibility that systems may be organized around their paradoxes rather than despite them, which seems to reinforce this idea.{7} finds its most rigorous theoretical formulation here.

[42] ibid., p. 180.

[43] ibid., p. 68.

[44] ibid., p. 172.

[45] Here elluls distinction between growth and development provides insightful infomation for understanding what kazynski’s cannot handle that is for Ellul, is quantitative expansion along an existing trajectory; development is qualitative reorganization that may or may not accompany such expansion. As he notes, “The more technology progresses, the more we perceive that the costs of economic growth are rapidly going up... We are now probably going through a reversal of the well-known trend of technological progress.”{8}. A system may grow while underdeveloping its members; it may stagnate quantitatively while undergoing qualitative transformation. Kaczynski’s framework, with its single axis of fitness and extinction, cannot register such distinctions. It must treat all expansion as success and all contraction as failure, when the reality of social systems is far more complex.

[46] W. Russell Neuman, The Paradox of Mass Politics: Knowledge and Opinion in the American Electorate (Harvard University Press, 1986).

[47] For a more detailed discussion of Veblen’s analysis of social paradoxes arising from sign behavior and ingrained habits, see especially Veblen{9} and the secondary analysis by Dyer{10}, Shishkina{11} Dyer essentially argues that for Veblen, “habits constitute the fundamental units of institutional analysis, shaping perception and meaning-making in ways that create persistent social patterns that cannot be reduced to individual rational choice.” Shishkina explicitly connects Veblen to semiotic analysis, while noting that conspicuous waste must be viewed as a system of signs whose meanings are socially constructed, perpetually unstable, and generative of paradoxes that cannot be resolved within the logic of the system itself. This might seem irrelevant, since Kaczynski’s project lies in the meta-analysis, but if Veblen and his successors are correct that we speak of human social systems as constituted in significant part by symbolic processes and by the negotiation of meaning—by habits themselves that encode our collective understandings—then what Kaczynski presents has, at best, abstracted away precisely what makes these systems social rather than merely mechanical.

[48] Ellul, The Technological System, p. 76.

[49] ibid., p. 69.

[50] Kaczynski, Anti-Tech Revolution: Why and How, p. 43.

[51] “Epictetus, The Enchiridion, trans. Thomas W. Higginson, The Library of Liberal Arts (New York: The Liberal Arts Press, 1948), C. 1.

[52] Theodore Kaczynski, “Ted Kaczynski’s Journal in 1980–81,” 1980. https://www.thetedkarchive.com/library/ted-kaczynski-s- journal-in-1980-81.

[53] Theodore Kaczynski, “Why Did You Do It?,” 2005, https://www.thetedkarchive.com/library/ted-kaczynski-why-did-you-do-it.

[54] Theodore Kaczynski, “Kaczynski and His Lawyers,” 1998, https://www.thetedkarchive.com/library/ted-kaczynski-kaczynski-and-hislawyers.

[55] Theodore Kaczynski, “Ted Kaczynski’s Journal in 1980–81,” 1980, https://www.thetedkarchive.com/library/ted-kaczynski-sjournal-in-1980-81.

[56] Ellul, The Technological System, P. 126.

[57] Theodore J. Kaczynski, “Autobiography,” 1979.

[58] Kaczynski’s concept of the “power process” is developed most fully in ISAIF, §§33–47{12}. He defines it as requiring four components —goal, effort, attainment, and autonomy (§33) The framework is borrowed principally from two uncited sources: Desmond Morris’s The Human Zoo (1969), which supplies the “stimulus struggle” and “survival-substitute activity” concepts, and Martin Seligman’s Helplessness: On Depression, Development, and Death (1975), which supplies the learned helplessness paradigm. Kaczynski explicitly recommended both books in 1996 as supporting “the manifesto’s assertion about the power process”; a private footnote to Seligman appears in his manuscript, and his handwritten draft originally used Morris’s term “substitute activity” before he altered it to “surrogate.” His restriction of the power process’s proper satisfaction to hunter-gatherer contexts is not an empirical deduction but a bioprimitivist normative claim, derived from Morris’s captivity thesis and Ellul’s technological systems theory, for which he offers no independent justification.

[59] ibid., P. 94.

[60] Theodore J. Kaczynski and David Skrbina, “Correspondence between Ted Kaczynski and David Skrbina,” 2004, https://www.thetedkarchive.com/library/ted-kaczynski-s-letter-correspondencewith-david-skrbina.

[61] Theodore Kaczynski, “Ted Kaczynski: An Early Attempt to Argue for Hunter-Gatherer Societies or Human Extermination,” 1979, https://www.thetedkarchive.com/library/ted-kaczynski-an-earlyattempt-to-argue-for-hunter-gatherer-societies-or-humanextermination.

{1} Various Authors, “Debate in the Earth First! Journal About Ted Kaczynski,” The Ted K Archive, https://www.thetedkarchive.com/library/debate-in-the-earth-first-journal-about-ted-kaczynski.

{2} When I speak of an object factor, I refer to what constitutes the center of each author’s point of departure. In this correlation, for Ted Kaczynski the object factor is technology (specifically, the techno industrial system as an autonomous, self-propagating entity); See particularly Chapter 1: “The Revolution against Technology: The Quest for the Objective Factor” by chadahaag.* For John Zerzan we can speak of symbolic culture— namely, language, number, and time as the original mediation that alienated humanity from immediate, unmediated experience. Note: see John Zerzan, Elements of Refusal,** particularly the essays “Language: Origin and Meaning,” “Number: Its Origin and Evolution,” and for the concept of time, see also “Future Primitive” in Future Primitive and Other Essays.***

* Chad A. Haag, The Philosophy of Ted Kaczynski: Why the Unabomber Was Right About Modern Technology (Uchakkada, India: Self-published, 2019), www.thetedkarchive.com library/chad-a-haag-the-philosophy-of-ted-kaczynski.¶

** John Zerzan, Elements of Refusal (Columbia, MO: C.A.L. Press, 1999).¶

*** John Zerzan, Future Primitive and Other Essays (Brooklyn, NY: Autonomedia, 1994).

{3} ibid., P.62

{4} Andrew D. Irvine and Harry Deutsch, “Russell’s Paradox,” 7 AD.

{5} Tom Ritchey, “Wicked Problems: Modelling Social Messes with Morphological Analysis,” Acta Morphologica Generalis 2, no. 1 (2013): p. 4, https://www.researchgate.net/publication/236885171_Wicked_Problems_Modelling_Social_Messes_with_Morphological_Analysis.

{6} ibid., P. 47.

{7} Ellul, The Technological System.

{8} ibid., p. 262.

{9} Thorstein Veblen, The Theory of the Leisure Class: An Economic Study of Institutions (New York: Macmillan, 1899).

{10} Alan W. Dyer, “The Habit of Work: A Theoretical Exploration,” Journal of Economic Issues 18, no. 2 (1984).

{11} T. M. Shishkina, “Economic Analysis of Conspicuous Waste: Historical Overview and Modern Approaches,” Voprosy Ekonomiki, no. 4 (2023), https://doi.org/10.32609/0042-87362023-4-119-134.

{12} Ted Kaczynski, Theodore John Kaczynski, and The Unabomber, Industrial Society & Its Future (United States: Wingspan Classics, 2008), P. 33–47.

* * * * *